Zadnji put ažurirano :
27/04/2026
antibiotik   Gentamicin sulfate  
injekcija
kapi za oko
Stabilizacija rješenja Stabilnost mješavine Stabilizacijski faktor Kompatibilnosti način davanja lijeka Bibliografija pdf
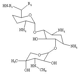
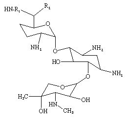
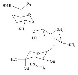
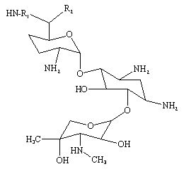
   Kemijska struktura  

Nekomercijalni   Nekomercijalni     

Zaštićeni nazivi su indikativni i sastav ekscipijensa može biti različit ovisno o državi i laboratorijima

Azupel Peru
Cidomycin Egipat, Tunis, Velika Britanija
Dabroson Grčka
Epigent Egipat
Garalone Portugal
Garamicina Brazil, Ekvador, Kolumbija, Meksiko
Garamycin Indija, Danska, Egipat, Grčka, Hrvatska, Nizozemska, Norveška, Poljska, Švicarska, Ujedinjeni Arapski Emirati
Genmisin Turska
Gensif Turska
Gensumycin Finska, Norveška, Švedska
Genta-Gobens Španjolska
Gentalline Maroko
Gentamen Maroko
Genticin Irska, Ujedinjeni Arapski Emirati, Velika Britanija
Gentreks Turska
Hexamycin Danska
Plurisemina Argentina
Refobacin Austrija, Egipat, Kolumbija, Njemačka
Rupegen Argentina
Stabilizacija rješenja   injekcija   Stabilizacija rješenja : Gentamicin sulfate     
Kontejner sredstvo za rastapanje koncentracija temperatura Konzerviranje Trajanje stabilnosti Bibliografija
čaša natrijumkorid 0,9% 10 mg/ml 4°C Zaštićeno od svjetlosti
84 dan
1486
Biološka metoda

polivinilklorid natrijumkorid 0,9% 1 mg/ml -20°C Zaštićeno od svjetlosti
30 dan
573
Biološka metoda

polivinilklorid natrijumkorid 0,9% 1 mg/ml 25°C svjetlost
48 sat
434

polivinilklorid natrijumkorid 0,9% 1 mg/ml 4°C Zaštićeno od svjetlosti
48 sat
434

polivinilklorid natrijumkorid 0,9% 1,2 mg/ml -20°C Zaštićeno od svjetlosti
28 dan
565
Razina dokaza D

polivinilklorid glukoza 5% 1 mg/ml -20°C Zaštićeno od svjetlosti
30 dan
573
Biološka metoda

polivinilklorid glukoza 5% 1 mg/ml 25°C svjetlost
48 sat
434

proturječni podaci
polivinilklorid glukoza 5% 1 mg/ml 4°C Zaštićeno od svjetlosti
48 sat
434

polivinilklorid glukoza 5% 1,2 mg/ml -20°C Zaštićeno od svjetlosti
28 dan
565
Razina dokaza D

polivinilklorid glukoza 5% 1,6 mg/ml -20°C Zaštićeno od svjetlosti
30 dan
576
Biološka metoda

polivinilklorid Extraneal® (Baxter) 0,02 mg/ml 25°C Zaštićeno od svjetlosti
14 dan
3888
Razina dokaza D

polivinilklorid Extraneal® (Baxter) 0,02 mg/ml 37°C Zaštićeno od svjetlosti
14 dan
3888
Razina dokaza D

polivinilklorid Extraneal® (Baxter) 0,02 mg/ml 4°C Zaštićeno od svjetlosti
14 dan
3888
Razina dokaza D

polietilen čista voda za injektiranje 2,5 mg/ml 25°C Sa i bez svjetlosti
112 dan
3141
Razina dokaza B

etilvinilacetat natrijumkorid 0,9% 0,85 mg/ml 23°C Zaštićeno od svjetlosti
7 dan
1704
Razina dokaza A+

etilvinilacetat natrijumkorid 0,9% 0,85 mg/ml 4°C Zaštićeno od svjetlosti
30 dan
1704
Razina dokaza A+

špric polipropilen natrijumkorid 0,9% 30 mg/ml 22°C-23°C svjetlost
48 sat
639
Razina dokaza D

Poliizoprenski elastomer natrijumkorid 0,9% 0,5 & 5 mg/ml 25°C nespecifičan
24 sat
604
Podaci proizvođača o stabilnosti

Poliizoprenski elastomer natrijumkorid 0,9% 0,5 & 5 mg/ml 4°C Zaštićeno od svjetlosti
10 dan
604
Podaci proizvođača o stabilnosti

Poliizoprenski elastomer glukoza 5% 0,5 & 5 mg/ml 25°C nespecifičan
24 sat
604
Podaci proizvođača o stabilnosti

proturječni podaci
Poliizoprenski elastomer glukoza 5% 0,5 & 5 mg/ml 4°C Zaštićeno od svjetlosti
10 dan
604
Podaci proizvođača o stabilnosti

nespecifičan čista voda za injektiranje 2,5 mg/ml 37°C nespecifičan
96 sat
3952
Razina dokaza A


  Mentions Légales