zadnja posodobitev :
27/04/2026
Antibiotik   Gentamicin sulfate  
Brizgalka
Kapljice za oči
Stabilnost raztopine Stabilnost mešanice Faktorji, ki vplivajo na stabilnost Kompatibilnost način aplikacije Viri pdf
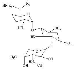
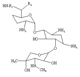
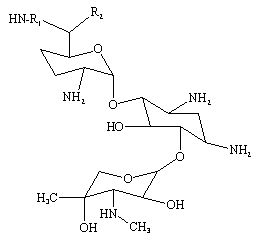
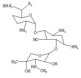
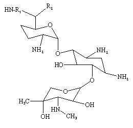
   Kemična formula  

Lastniško ime   Lastniško ime     

Sestava pomožnih snovi je med paralelami lahko različna

Azupel Peru
Cidomycin Egipt, Tunizija, Velika Britanija
Dabroson Grčija
Epigent Egipt
Garalone Portugalska
Garamicina Brazilija, Ekvador, Kolumbija, Mehika
Garamycin Danska, Egipt, Grčija, Hrvaška, Indija, Nizozemska, Norveška, Poljska, Švica, Združeni arabski emirati
Genmisin Turčija
Gensif Turčija
Gensumycin Finska, Norveška, Švedska
Genta-Gobens Španija
Gentalline Maroko
Gentamen Maroko
Genticin Irska, Velika Britanija, Združeni arabski emirati
Gentreks Turčija
Hexamycin Danska
Plurisemina Argentina
Refobacin Avstrija, Egipt, Kolumbija, Nemčija
Rupegen Argentina
Stabilnost raztopine   Brizgalka   Stabilnost raztopine : Gentamicin sulfate     
Vsebnik Topilo Koncentracija Temperatura Shranjevanje Trajanje stabilnosti Viri
Steklo Natrijev klorid 0,9% 10 mg/ml 4°C Zaščiteno pred svetlobo
84 Dan
1486
biološka analiza

Polivinil klorid Natrijev klorid 0,9% 1 mg/ml -20°C Zaščiteno pred svetlobo
30 Dan
573
biološka analiza

Polivinil klorid Natrijev klorid 0,9% 1 mg/ml 25°C Svetloba
48 čas
434

Polivinil klorid Natrijev klorid 0,9% 1 mg/ml 4°C Zaščiteno pred svetlobo
48 čas
434

Polivinil klorid Natrijev klorid 0,9% 1,2 mg/ml -20°C Zaščiteno pred svetlobo
28 Dan
565
 Stopnja dokaza D

Polivinil klorid Glukoza 5% 1 mg/ml -20°C Zaščiteno pred svetlobo
30 Dan
573
biološka analiza

Polivinil klorid Glukoza 5% 1 mg/ml 25°C Svetloba
48 čas
434

nasprotujoči podatki
Polivinil klorid Glukoza 5% 1 mg/ml 4°C Zaščiteno pred svetlobo
48 čas
434

Polivinil klorid Glukoza 5% 1,2 mg/ml -20°C Zaščiteno pred svetlobo
28 Dan
565
 Stopnja dokaza D

Polivinil klorid Glukoza 5% 1,6 mg/ml -20°C Zaščiteno pred svetlobo
30 Dan
576
biološka analiza

Polivinil klorid Extraneal® (Baxter) 0,02 mg/ml 25°C Zaščiteno pred svetlobo
14 Dan
3888
 Stopnja dokaza D

Polivinil klorid Extraneal® (Baxter) 0,02 mg/ml 37°C Zaščiteno pred svetlobo
14 Dan
3888
 Stopnja dokaza D

Polivinil klorid Extraneal® (Baxter) 0,02 mg/ml 4°C Zaščiteno pred svetlobo
14 Dan
3888
 Stopnja dokaza D

Polietilen Voda za injekcije 2,5 mg/ml 25°C Z ali brez svetlobe
112 Dan
3141
 Stopnja dokaza B

Etilenvinilacetat Natrijev klorid 0,9% 0,85 mg/ml 23°C Zaščiteno pred svetlobo
7 Dan
1704
 Stopnja dokaza A+

Etilenvinilacetat Natrijev klorid 0,9% 0,85 mg/ml 4°C Zaščiteno pred svetlobo
30 Dan
1704
 Stopnja dokaza A+

Brizgalka polipropilen Natrijev klorid 0,9% 30 mg/ml 22°C-23°C Svetloba
48 čas
639
 Stopnja dokaza D

Poliizoprenski elastomer Natrijev klorid 0,9% 0,5 & 5 mg/ml 25°C Nedoločeno
24 čas
604
Podatki stabilnosti proizvajalca

Poliizoprenski elastomer Natrijev klorid 0,9% 0,5 & 5 mg/ml 4°C Zaščiteno pred svetlobo
10 Dan
604
Podatki stabilnosti proizvajalca

Poliizoprenski elastomer Glukoza 5% 0,5 & 5 mg/ml 25°C Nedoločeno
24 čas
604
Podatki stabilnosti proizvajalca

nasprotujoči podatki
Poliizoprenski elastomer Glukoza 5% 0,5 & 5 mg/ml 4°C Zaščiteno pred svetlobo
10 Dan
604
Podatki stabilnosti proizvajalca

Nedoločeno Voda za injekcije 2,5 mg/ml 37°C Nedoločeno
96 čas
3952
 Stopnja dokaza A


  Mentions Légales