Последнее обновление :
27/04/2026
Антибиотик   Gentamicin sulfate  
Инъекция
Глазные капли
Стабильность растворов Стабильность смесей Факторы, которые влияют на стабильность Совместимость Способы введения Библиография pdf
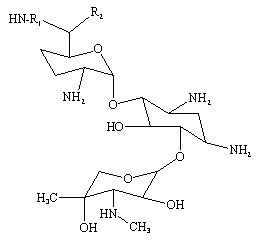
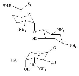
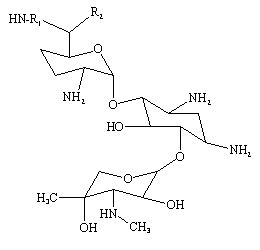
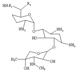
   Химическая структура  

Товарное название   Товарное название     

Trade names are indicative and excipients composition can be different depending on the country and manufacturers

Azupel Перу
Cidomycin Великобритания, Египет, Тунис
Dabroson Греция
Epigent Египет
Garalone Португалия
Garamicina Бразилия, Колумбия, Мексика, Эквадор
Garamycin Голландия, Греция, Дания, Египет, Индия, Норвегия, Объединенные Арабские Эмираты, Польша, Хорватия, Швейцария
Genmisin Турция
Gensif Турция
Gensumycin Норвегия, Финляндия, Швеция
Genta-Gobens Испания
Gentalline Марокко
Gentamen Марокко
Genticin Великобритания, Ирландия, Объединенные Арабские Эмираты
Gentreks Турция
Hexamycin Дания
Plurisemina Аргентина
Refobacin Австрия, Германия, Египет, Колумбия
Rupegen Аргентина
Стабильность растворов   Инъекция   Стабильность растворов : Gentamicin sulfate     
Упаковка Растворитель Концентрация Температура Хранение Продолжительность стабильности Ссылки
Стекло Натрия хлорид 0,9% 10 mg/ml 4°C Защищён от света
84 День
1486
Биологический метод

Поливинилхлорид Натрия хлорид 0,9% 1 mg/ml -20°C Защищён от света
30 День
573
Биологический метод

Поливинилхлорид Натрия хлорид 0,9% 1 mg/ml 25°C Свет
48 Час
434

Поливинилхлорид Натрия хлорид 0,9% 1 mg/ml 4°C Защищён от света
48 Час
434

Поливинилхлорид Натрия хлорид 0,9% 1,2 mg/ml -20°C Защищён от света
28 День
565
Уровень доказательности D

Поливинилхлорид Глюкоза 5% 1 mg/ml -20°C Защищён от света
30 День
573
Биологический метод

Поливинилхлорид Глюкоза 5% 1 mg/ml 25°C Свет
48 Час
434

противоречивые данные
Поливинилхлорид Глюкоза 5% 1 mg/ml 4°C Защищён от света
48 Час
434

Поливинилхлорид Глюкоза 5% 1,2 mg/ml -20°C Защищён от света
28 День
565
Уровень доказательности D

Поливинилхлорид Глюкоза 5% 1,6 mg/ml -20°C Защищён от света
30 День
576
Биологический метод

Поливинилхлорид Extraneal® (Baxter) 0,02 mg/ml 25°C Защищён от света
14 День
3888
Уровень доказательности D

Поливинилхлорид Extraneal® (Baxter) 0,02 mg/ml 37°C Защищён от света
14 День
3888
Уровень доказательности D

Поливинилхлорид Extraneal® (Baxter) 0,02 mg/ml 4°C Защищён от света
14 День
3888
Уровень доказательности D

Полиэтилен Вода для инъекций 2,5 mg/ml 25°C И на свету и в темноте
112 День
3141
Уровень доказательности B

Этилен-винилацетат Натрия хлорид 0,9% 0,85 mg/ml 23°C Защищён от света
7 День
1704
Уровень доказательности A +

Этилен-винилацетат Натрия хлорид 0,9% 0,85 mg/ml 4°C Защищён от света
30 День
1704
Уровень доказательности A +

Шприц полипропилен Натрия хлорид 0,9% 30 mg/ml 22°C-23°C Свет
48 Час
639
Уровень доказательности D

Полиизопреновый эластомер Натрия хлорид 0,9% 0,5 & 5 mg/ml 25°C Не указано
24 Час
604
Данные по стабльности от изготовителя

Полиизопреновый эластомер Натрия хлорид 0,9% 0,5 & 5 mg/ml 4°C Защищён от света
10 День
604
Данные по стабльности от изготовителя

Полиизопреновый эластомер Глюкоза 5% 0,5 & 5 mg/ml 25°C Не указано
24 Час
604
Данные по стабльности от изготовителя

противоречивые данные
Полиизопреновый эластомер Глюкоза 5% 0,5 & 5 mg/ml 4°C Защищён от света
10 День
604
Данные по стабльности от изготовителя

Не указано Вода для инъекций 2,5 mg/ml 37°C Не указано
96 Час
3952
Уровень доказательности A


  Mentions Légales