Seneste opdatering :
27/04/2026
Antibiotisk   Gentamicin sulfate  
Injektion
Øjendråber
Stabilitet i (vandige) opløsninger Stabilitet i blandinger Faktorer der påvirker stabiliteten Kompatibilitet Administrationsvej Bibliografi pdf
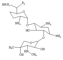
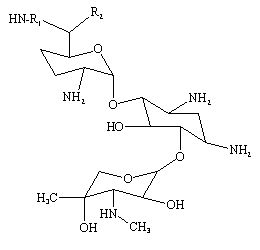
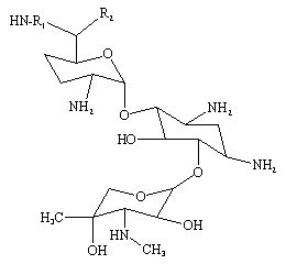
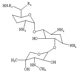
   Kemisk struktur  

Handelsnavn   Handelsnavn     

Handel navne er vejledende og hjælpestoffer sammensætning kan være forskellig afhængigt af landet og laboratorier

Azupel Marokko
Cidomycin Storbritanien, Tunesien, Ægypten
Dabroson Grækenland
Epigent Ægypten
Garalone Portugal
Garamicina Brasilien, Colombia, Ecuador, Mexico
Garamycin Danmark, Forenede Arabiske Emirater, Grækenland, Holland, Indien, Kroatien, Norge, Polen, Schweiz, Ægypten
Genmisin Tyrkiet
Gensif Tyrkiet
Gensumycin Finland, Norge, Sverige
Genta-Gobens Spanien
Gentalline Marokko
Gentamen Marokko
Genticin Forenede Arabiske Emirater, Irland, Storbritanien
Gentreks Tyrkiet
Hexamycin Danmark
Plurisemina Argentina
Refobacin Colombia, Tyskland, Ægypten, Østrig
Rupegen Argentina
Stabilitet i (vandige) opløsninger   Injektion   Stabilitet i (vandige) opløsninger : Gentamicin sulfate     
Beholder Opløsningsmiddel Koncentration Temperatur Konservering Varighed af stabilitet Bibliografi
Glas 0,9 % Natriumklorid 10 mg/ml 4°C Beskyt mod lys
84 Dag
1486
biologisk analyse

Polyvinylklorid 0,9 % Natriumklorid 1 mg/ml -20°C Beskyt mod lys
30 Dag
573
biologisk analyse

Polyvinylklorid 0,9 % Natriumklorid 1 mg/ml 25°C Lys
48 Time
434

Polyvinylklorid 0,9 % Natriumklorid 1 mg/ml 4°C Beskyt mod lys
48 Time
434

Polyvinylklorid 0,9 % Natriumklorid 1,2 mg/ml -20°C Beskyt mod lys
28 Dag
565
Level af bevismateriale D

Polyvinylklorid 5 % Glukose 1 mg/ml -20°C Beskyt mod lys
30 Dag
573
biologisk analyse

Polyvinylklorid 5 % Glukose 1 mg/ml 25°C Lys
48 Time
434

modstridende data
Polyvinylklorid 5 % Glukose 1 mg/ml 4°C Beskyt mod lys
48 Time
434

Polyvinylklorid 5 % Glukose 1,2 mg/ml -20°C Beskyt mod lys
28 Dag
565
Level af bevismateriale D

Polyvinylklorid 5 % Glukose 1,6 mg/ml -20°C Beskyt mod lys
30 Dag
576
biologisk analyse

Polyvinylklorid Extraneal® (Baxter) 0,02 mg/ml 25°C Beskyt mod lys
14 Dag
3888
Level af bevismateriale D

Polyvinylklorid Extraneal® (Baxter) 0,02 mg/ml 37°C Beskyt mod lys
14 Dag
3888
Level af bevismateriale D

Polyvinylklorid Extraneal® (Baxter) 0,02 mg/ml 4°C Beskyt mod lys
14 Dag
3888
Level af bevismateriale D

Polyethylen Vand til injektion 2,5 mg/ml 25°C Med eller uden lys
112 Dag
3141
Level af bevismateriale B

Ethylen vinyl acetat 0,9 % Natriumklorid 0,85 mg/ml 23°C Beskyt mod lys
7 Dag
1704
Level af bevismateriale A+

Ethylen vinyl acetat 0,9 % Natriumklorid 0,85 mg/ml 4°C Beskyt mod lys
30 Dag
1704
Level af bevismateriale A+

sprøjte polypropylen 0,9 % Natriumklorid 30 mg/ml 22°C-23°C Lys
48 Time
639
Level af bevismateriale D

Polyisopren elastomer 0,9 % Natriumklorid 0,5 & 5 mg/ml 25°C Ikke nærmere angivet
24 Time
604
Producentens stabilitet data

Polyisopren elastomer 0,9 % Natriumklorid 0,5 & 5 mg/ml 4°C Beskyt mod lys
10 Dag
604
Producentens stabilitet data

Polyisopren elastomer 5 % Glukose 0,5 & 5 mg/ml 25°C Ikke nærmere angivet
24 Time
604
Producentens stabilitet data

modstridende data
Polyisopren elastomer 5 % Glukose 0,5 & 5 mg/ml 4°C Beskyt mod lys
10 Dag
604
Producentens stabilitet data

Ikke angivet nærmere Vand til injektion 2,5 mg/ml 37°C Ikke nærmere angivet
96 Time
3952
Level af bevismateriale A


  Mentions Légales