Letztes “update” :
27/04/2026
Antibiotikum   Gentamicin sulfate  
Injektion
Augentropfen
Stabilität der Lösung Gemengestabilität Stabilitätbeeinflussende Faktoren Kompatibilitäten Applikationsart Literaturverzeichnis pdf
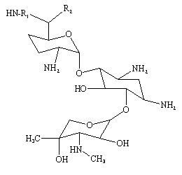
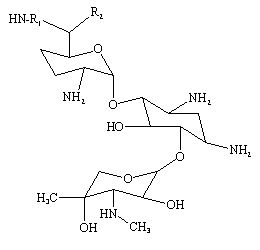
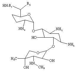
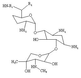
   Chemische Struktur  

Handelsmarke   Handelsmarke     

Handelsnamen sind als beispielhaft anzusehen. Sonstige Bestandteile können je nach Hersteller oder Land verschieden sein

Azupel Peru
Cidomycin Ägypten, Großbritannien, Tunesien
Dabroson Griechenland
Epigent Ägypten
Garalone Portugal
Garamicina Brasilien, Ecuador, Kolumbien, Mexiko
Garamycin Ägypten, Dänemark, Griechenland, Indien, Kroatien, Niederlande, Norwegen, Polen, Schweiz, Vereinigte Arabische Emirate
Genmisin Türkei
Gensif Türkei
Gensumycin Finnland, Norwegen, Schweden
Genta-Gobens Spanien
Gentalline Marokko
Gentamen Marokko
Genticin Großbritannien, Irland, Vereinigte Arabische Emirate
Gentreks Türkei
Hexamycin Dänemark
Plurisemina Argentinien
Refobacin Ägypten, Deutschland, Kolumbien, Österreich
Rupegen Argentinien
Stabilität der Lösung   Injektion   Stabilität der Lösung : Gentamicin sulfate     
Behälter Lösungsmittel Konzentration Temperatur Konservierung Dauer der Stabilität Literaturverzeichnis
Glas 0,9% Natriumchlorid 10 mg/ml 4°C Ohne Licht
84 Tag
1486
Biologische Analysen

Polyvinylchlorid 0,9% Natriumchlorid 1 mg/ml -20°C Ohne Licht
30 Tag
573
Biologische Analysen

Polyvinylchlorid 0,9% Natriumchlorid 1 mg/ml 25°C Licht
48 Stunde
434

Polyvinylchlorid 0,9% Natriumchlorid 1 mg/ml 4°C Ohne Licht
48 Stunde
434

Polyvinylchlorid 0,9% Natriumchlorid 1,2 mg/ml -20°C Ohne Licht
28 Tag
565
Evidenzgrad D

Polyvinylchlorid 5% Glucose 1 mg/ml -20°C Ohne Licht
30 Tag
573
Biologische Analysen

Polyvinylchlorid 5% Glucose 1 mg/ml 25°C Licht
48 Stunde
434

widersprüchliche Daten
Polyvinylchlorid 5% Glucose 1 mg/ml 4°C Ohne Licht
48 Stunde
434

Polyvinylchlorid 5% Glucose 1,2 mg/ml -20°C Ohne Licht
28 Tag
565
Evidenzgrad D

Polyvinylchlorid 5% Glucose 1,6 mg/ml -20°C Ohne Licht
30 Tag
576
Biologische Analysen

Polyvinylchlorid Extraneal® (Baxter) 0,02 mg/ml 25°C Ohne Licht
14 Tag
3888
Evidenzgrad D

Polyvinylchlorid Extraneal® (Baxter) 0,02 mg/ml 37°C Ohne Licht
14 Tag
3888
Evidenzgrad D

Polyvinylchlorid Extraneal® (Baxter) 0,02 mg/ml 4°C Ohne Licht
14 Tag
3888
Evidenzgrad D

Polyäthylen Wasser für injektable präparate 2,5 mg/ml 25°C Mit oder ohne Licht
112 Tag
3141
Evidenzgrad B

Äthylenvinylacetat 0,9% Natriumchlorid 0,85 mg/ml 23°C Ohne Licht
7 Tag
1704
Evidenzgrad A+

Äthylenvinylacetat 0,9% Natriumchlorid 0,85 mg/ml 4°C Ohne Licht
30 Tag
1704
Evidenzgrad A+

 Spritze Polypropylen 0,9% Natriumchlorid 30 mg/ml 22°C-23°C Licht
48 Stunde
639
Evidenzgrad D

Polyisoprenelastomer 0,9% Natriumchlorid 0,5 & 5 mg/ml 25°C Nicht genau angegeben
24 Stunde
604
Stabilitätsdaten des Herstellers

Polyisoprenelastomer 0,9% Natriumchlorid 0,5 & 5 mg/ml 4°C Ohne Licht
10 Tag
604
Stabilitätsdaten des Herstellers

Polyisoprenelastomer 5% Glucose 0,5 & 5 mg/ml 25°C Nicht genau angegeben
24 Stunde
604
Stabilitätsdaten des Herstellers

widersprüchliche Daten
Polyisoprenelastomer 5% Glucose 0,5 & 5 mg/ml 4°C Ohne Licht
10 Tag
604
Stabilitätsdaten des Herstellers

Nicht genau angegeben Wasser für injektable präparate 2,5 mg/ml 37°C Nicht genau angegeben
96 Stunde
3952
Evidenzgrad A


  Mentions Légales