Poslední aktualizace :
27/04/2026
Antibiotikas   Gentamicin sulfate  
Įpurškimas
Akių lašai
Tirpalų stabilumas Mišinių stabilumas Stabilumą lemiantys veiksniai Suderinamumas Leidimo būdai Bibliografija pdf
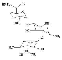
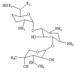
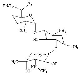
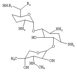
   Cheminė sandara  

Prekinis pavadinimas   Prekinis pavadinimas     

Trade names are indicative and excipients composition can be different depending on the country and manufacturers

Azupel Peru
Cidomycin Didžioji Britanija, Egiptas, Tunisas
Dabroson Graikija
Epigent Egiptas
Garalone Portugalija
Garamicina Brazilija, Ekvadoras, Kolumbija, Meksikas
Garamycin Danija, Egiptas, Graikija, Indija, Jungtiniai Arabų Emyratai, Kroatija, Lenkija, Norvegija, Olandija, Šveicarija
Genmisin Turkija
Gensif Turkija
Gensumycin Norvegija, Suomija, Švedija
Genta-Gobens Ispanija
Gentalline Marokas
Gentamen Marokas
Genticin Airija, Didžioji Britanija, Jungtiniai Arabų Emyratai
Gentreks Turkija
Hexamycin Danija
Plurisemina Argentina
Refobacin Austrija, Egiptas, Kolumbija, Vokietija
Rupegen Argentina
Tirpalų stabilumas   Įpurškimas   Tirpalų stabilumas : Gentamicin sulfate     
Pakuotė Tirpiklis Koncentracija Temperatūra Laikymas Stabilumo trukmė Nuorodos
Stiklas Natrio chloridas 0,9% 10 mg/ml 4°C Apsaugotas nuo šviesos
84 Diena
1486
Biologinis metodas

Polivinilchloridas Natrio chloridas 0,9% 1 mg/ml -20°C Apsaugotas nuo šviesos
30 Diena
573
Biologinis metodas

Polivinilchloridas Natrio chloridas 0,9% 1 mg/ml 25°C Šviesa
48 Valanda
434

Polivinilchloridas Natrio chloridas 0,9% 1 mg/ml 4°C Apsaugotas nuo šviesos
48 Valanda
434

Polivinilchloridas Natrio chloridas 0,9% 1,2 mg/ml -20°C Apsaugotas nuo šviesos
28 Diena
565
Bandymo lygis D

Polivinilchloridas Gliukozė 5% 1 mg/ml -20°C Apsaugotas nuo šviesos
30 Diena
573
Biologinis metodas

Polivinilchloridas Gliukozė 5% 1 mg/ml 25°C Šviesa
48 Valanda
434

prieštaringi duomenys
Polivinilchloridas Gliukozė 5% 1 mg/ml 4°C Apsaugotas nuo šviesos
48 Valanda
434

Polivinilchloridas Gliukozė 5% 1,2 mg/ml -20°C Apsaugotas nuo šviesos
28 Diena
565
Bandymo lygis D

Polivinilchloridas Gliukozė 5% 1,6 mg/ml -20°C Apsaugotas nuo šviesos
30 Diena
576
Biologinis metodas

Polivinilchloridas Extraneal® (Baxter) 0,02 mg/ml 25°C Apsaugotas nuo šviesos
14 Diena
3888
Bandymo lygis D

Polivinilchloridas Extraneal® (Baxter) 0,02 mg/ml 37°C Apsaugotas nuo šviesos
14 Diena
3888
Bandymo lygis D

Polivinilchloridas Extraneal® (Baxter) 0,02 mg/ml 4°C Apsaugotas nuo šviesos
14 Diena
3888
Bandymo lygis D

Polietilenas Vanduo injekcijoms 2,5 mg/ml 25°C Ir šviesoje, ir tamsoje
112 Diena
3141
Bandymo lygis B

Etileno vinilacetatas Natrio chloridas 0,9% 0,85 mg/ml 23°C Apsaugotas nuo šviesos
7 Diena
1704
Bandymo lygis A+

Etileno vinilacetatas Natrio chloridas 0,9% 0,85 mg/ml 4°C Apsaugotas nuo šviesos
30 Diena
1704
Bandymo lygis A+

Švirkštas polipropileno Natrio chloridas 0,9% 30 mg/ml 22°C-23°C Šviesa
48 Valanda
639
Bandymo lygis D

Poliizopreno elastomeras Natrio chloridas 0,9% 0,5 & 5 mg/ml 25°C Nenurodyta
24 Valanda
604
Gamintojo stabilumo duomenys

Poliizopreno elastomeras Natrio chloridas 0,9% 0,5 & 5 mg/ml 4°C Apsaugotas nuo šviesos
10 Diena
604
Gamintojo stabilumo duomenys

Poliizopreno elastomeras Gliukozė 5% 0,5 & 5 mg/ml 25°C Nenurodyta
24 Valanda
604
Gamintojo stabilumo duomenys

prieštaringi duomenys
Poliizopreno elastomeras Gliukozė 5% 0,5 & 5 mg/ml 4°C Apsaugotas nuo šviesos
10 Diena
604
Gamintojo stabilumo duomenys

Nenurodyta Vanduo injekcijoms 2,5 mg/ml 37°C Nenurodyta
96 Valanda
3952
Bandymo lygis A


  Mentions Légales