最新更新 :
27/04/2026
抗菌薬   Gentamicin sulfate  
注射薬
点眼薬
溶媒内の安定性 混合時の安定性 安定性に影響する因子 互換性 投与経路 引用文献 PDF
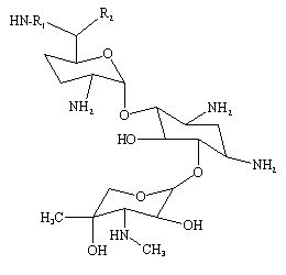
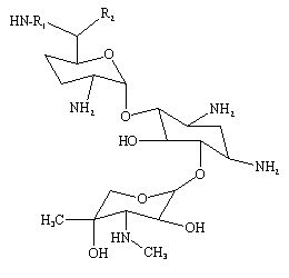
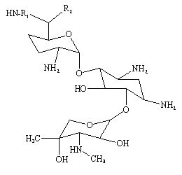
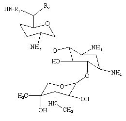
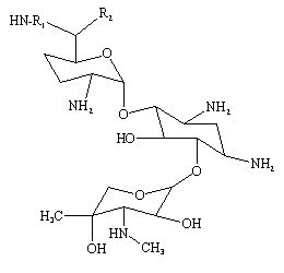
   化学構造  

商品名   商品名     

商品名、賦形剤は国、製薬会社ごとに異なることがあります

Azupel ペルー
Cidomycin イギリス, エジプト, チュニジア
Dabroson ギリシア
Epigent エジプト
Garalone ポルトガル
Garamicina エクアドル, コロンビア, ブラジル, メキシコ
Garamycin アラブ首長国連邦, インド, エジプト, オランダ, ギリシア, クロアチア, スイス, デンマーク, ノルウェー, ポーランド
Genmisin トルコ
Gensif トルコ
Gensumycin スウェーデン, ノルウェー, フィンランド
Genta-Gobens スペイン
Gentalline モロッコ
Gentamen モロッコ
Genticin アイルランド, アラブ首長国連邦, イギリス
Gentreks トルコ
Hexamycin デンマーク
Plurisemina アルゼンチン
Refobacin エジプト, オーストリア, コロンビア, ドイツ
Rupegen アルゼンチン
溶媒内の安定性   注射薬   溶媒内の安定性 : Gentamicin sulfate     
容器 溶媒 濃度 温度 保管 安定期間 引用文献
ガラス NaCl 0,9% 10 mg/ml 4°C 遮光
84 日
1486
生物学的分析

ポリ塩化ビニル(PVC) NaCl 0,9% 1 mg/ml -20°C 遮光
30 日
573
生物学的分析

ポリ塩化ビニル(PVC) NaCl 0,9% 1 mg/ml 25°C 光
48 時間
434

ポリ塩化ビニル(PVC) NaCl 0,9% 1 mg/ml 4°C 遮光
48 時間
434

ポリ塩化ビニル(PVC) NaCl 0,9% 1,2 mg/ml -20°C 遮光
28 日
565
エビデンスレベル D

ポリ塩化ビニル(PVC) グルコース5% 1 mg/ml -20°C 遮光
30 日
573
生物学的分析

ポリ塩化ビニル(PVC) グルコース5% 1 mg/ml 25°C 光
48 時間
434

矛盾するデータ
ポリ塩化ビニル(PVC) グルコース5% 1 mg/ml 4°C 遮光
48 時間
434

ポリ塩化ビニル(PVC) グルコース5% 1,2 mg/ml -20°C 遮光
28 日
565
エビデンスレベル D

ポリ塩化ビニル(PVC) グルコース5% 1,6 mg/ml -20°C 遮光
30 日
576
生物学的分析

ポリ塩化ビニル(PVC) Extraneal® (Baxter) 0,02 mg/ml 25°C 遮光
14 日
3888
エビデンスレベル D

ポリ塩化ビニル(PVC) Extraneal® (Baxter) 0,02 mg/ml 37°C 遮光
14 日
3888
エビデンスレベル D

ポリ塩化ビニル(PVC) Extraneal® (Baxter) 0,02 mg/ml 4°C 遮光
14 日
3888
エビデンスレベル D

ポリエチレン 注射用水 2,5 mg/ml 25°C 光/遮光
112 日
3141
エビデンスレベル B

エチレン酢酸ビニル NaCl 0,9% 0,85 mg/ml 23°C 遮光
7 日
1704
エビデンスレベル A+

エチレン酢酸ビニル NaCl 0,9% 0,85 mg/ml 4°C 遮光
30 日
1704
エビデンスレベル A+

シリンジ ポリプロピレン NaCl 0,9% 30 mg/ml 22°C-23°C 光
48 時間
639
エビデンスレベル D

ポリイソプレンエラストマー NaCl 0,9% 0,5 & 5 mg/ml 25°C 特記なし
24 時間
604
製薬会社の安定性データ

ポリイソプレンエラストマー NaCl 0,9% 0,5 & 5 mg/ml 4°C 遮光
10 日
604
製薬会社の安定性データ

ポリイソプレンエラストマー グルコース5% 0,5 & 5 mg/ml 25°C 特記なし
24 時間
604
製薬会社の安定性データ

矛盾するデータ
ポリイソプレンエラストマー グルコース5% 0,5 & 5 mg/ml 4°C 遮光
10 日
604
製薬会社の安定性データ

指定なし 注射用水 2,5 mg/ml 37°C 特記なし
96 時間
3952
エビデンスレベル A


  Mentions Légales