Dernière mise à jour :
31/03/2026
Vasodilatateur   Isosorbide dinitrate  
injectable
Stabilité des solutions Stabilité en mélange Facteur influençant la stabilité Compatibilités Voie d’administration Bibliographie pdf
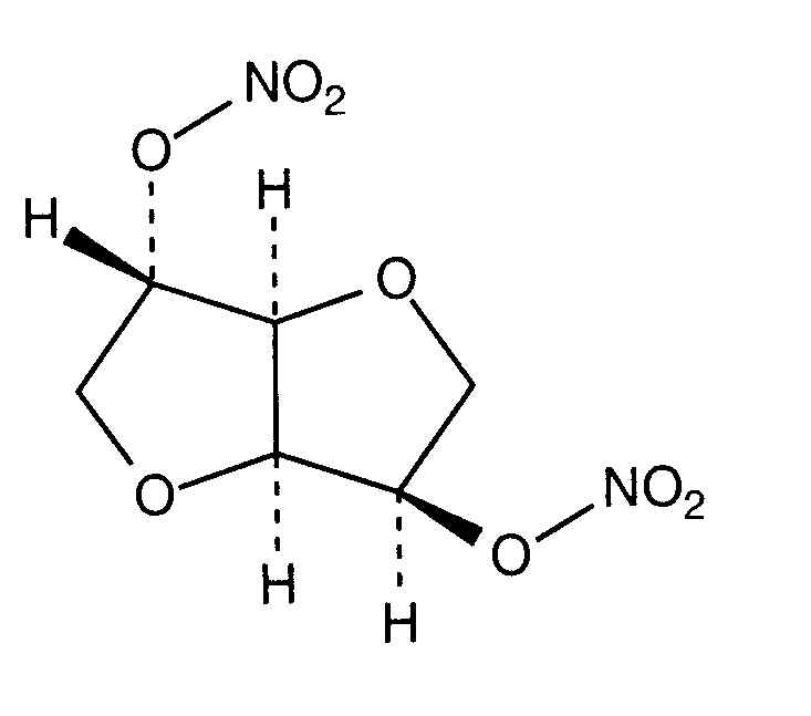
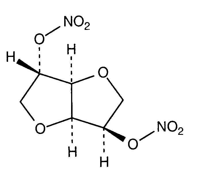
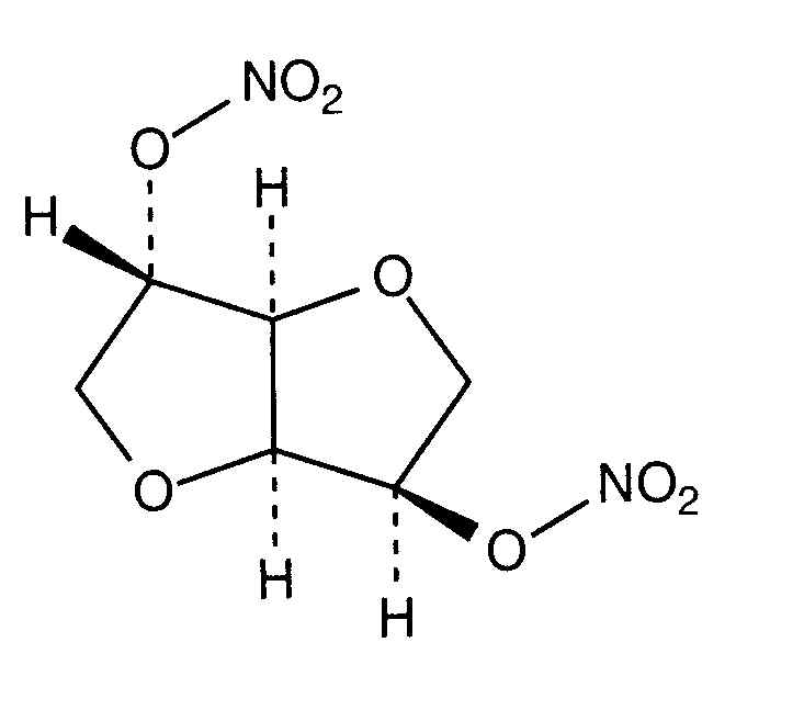
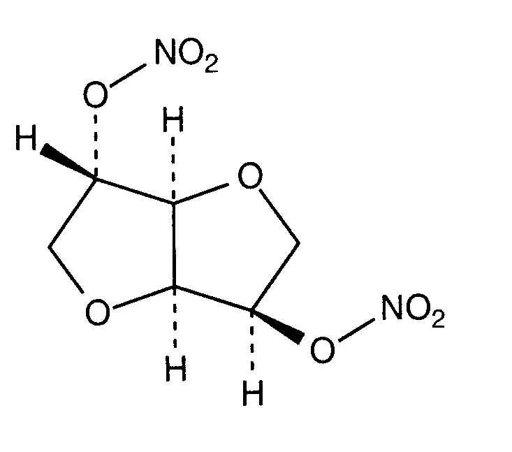
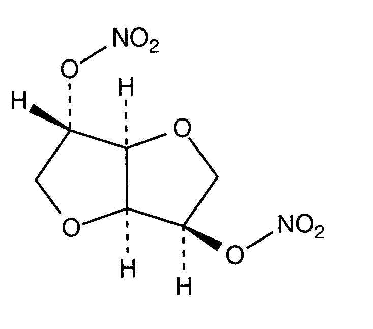
   Structure chimique  

Noms commerciaux   Noms commerciaux     

Les noms commerciaux sont donnés à titre indicatif et la composition en excipients peut être différente selon les pays et selon les laboratoires

Angsobide Malaisie
Cedocard Pays bas
Diniket Italie
Dinit Grande Bretagne
Ekilbran Mexique
Isoket Arabie Saoudite, Autriche, Egypte, Emirats Arabes Unis , Grande Bretagne, Irlande, Luxembourg, Malaisie, Mexique, Pérou, Pologne, Portugal, Suisse, Vénézuela
Isonit Equateur, Pérou
Nitrosid Finlande
Nitrosorbide Italie
Risordan France
Zanisor Mexique

Facteur influençant la stabilité   injectable   Facteur influençant la stabilité : Isosorbide dinitrate        

  Mentions Légales