最新更新 :
31/03/2026
血管拡張薬   Isosorbide dinitrate  
注射薬
溶媒内の安定性 混合時の安定性 安定性に影響する因子 互換性 投与経路 引用文献 PDF
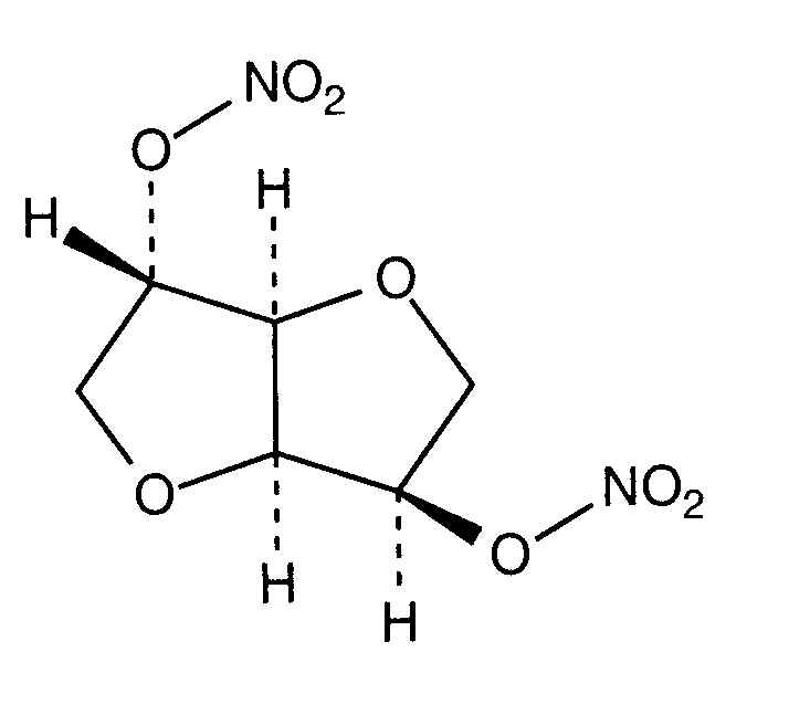
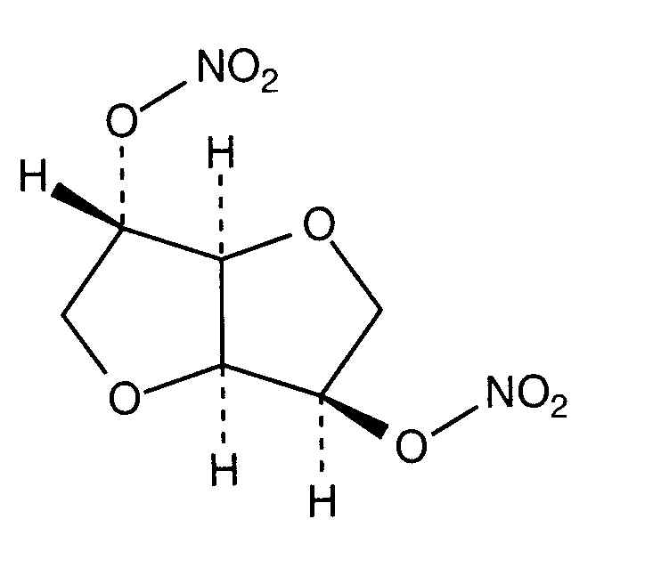
   化学構造  

商品名   商品名     

商品名、賦形剤は国、製薬会社ごとに異なることがあります

Angsobide マレーシア
Cedocard オランダ
Diniket イタリア
Dinit イギリス
Ekilbran メキシコ
Isoket アイルランド, アラブ首長国連邦, イギリス, エジプト, オーストリア, サウジアラビア, スイス, ベネズエラ, ペルー, ポルトガル, ポーランド, マレーシア, メキシコ, ルクセンブルグ
Isonit エクアドル, ペルー
Nitrosid フィンランド
Nitrosorbide イタリア
Risordan フランス
Zanisor メキシコ

安定性に影響する因子   注射薬   安定性に影響する因子 : Isosorbide dinitrate        

  Mentions Légales