Utolsó frissítés :
31/03/2026
Értágító   Isosorbide dinitrate  
Injekció
Az oldatok stabilitása A keverékek stabilitása Stabilitást befolyásoló tényezők Kompatibilitás Az alkalmazás módja Irodalom pdf
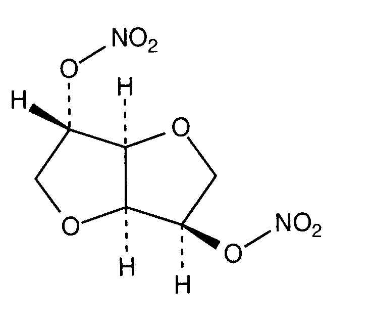
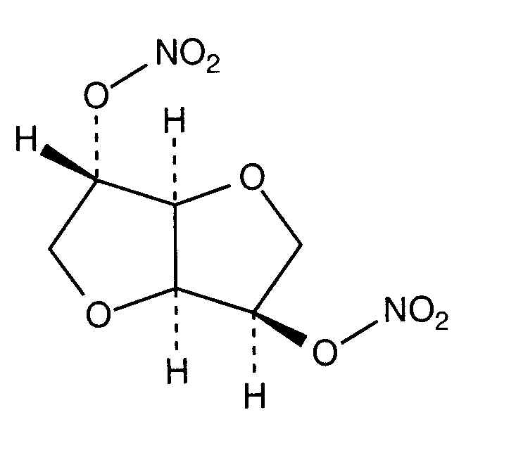
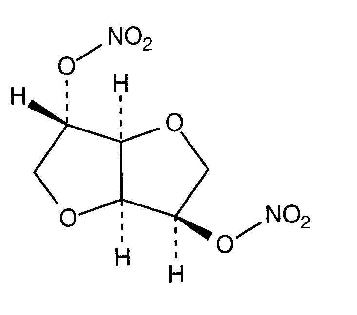
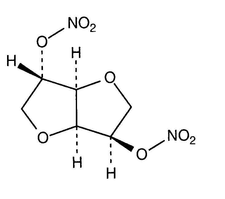
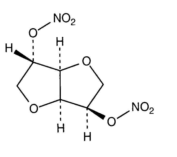
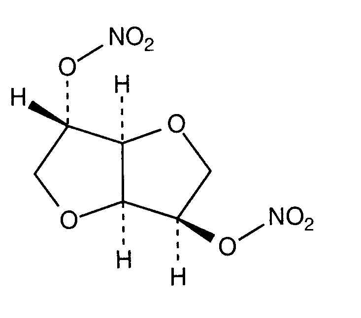
   Kémiai szerkezet   

Kereskedelmi név   Kereskedelmi név     

A kereskedelmi név meghatározó jelentőségű: a készítmények összetétele országonként, előállítóként eltérő lehet

Angsobide Malaysia
Cedocard Hollandia
Diniket Olaszország
Dinit Nagy-Britannia
Ekilbran Mexikó
Isoket Ausztria, Egyesült Arab Emírségek, Egyiptom, Írország, Lengyelország, Luxemburg, Malaysia, Mexikó, Nagy-Britannia, Peru, Portugália, Svájc, Szaúd-Arábiában, Venezuela
Isonit Ecuador, Peru
Nitrosid Finnország
Nitrosorbide Olaszország
Risordan Franciaország
Zanisor Mexikó

Stabilitást befolyásoló tényezők   Injekció   Stabilitást befolyásoló tényezők : Isosorbide dinitrate        

  Mentions Légales