Last update :
31/03/2026
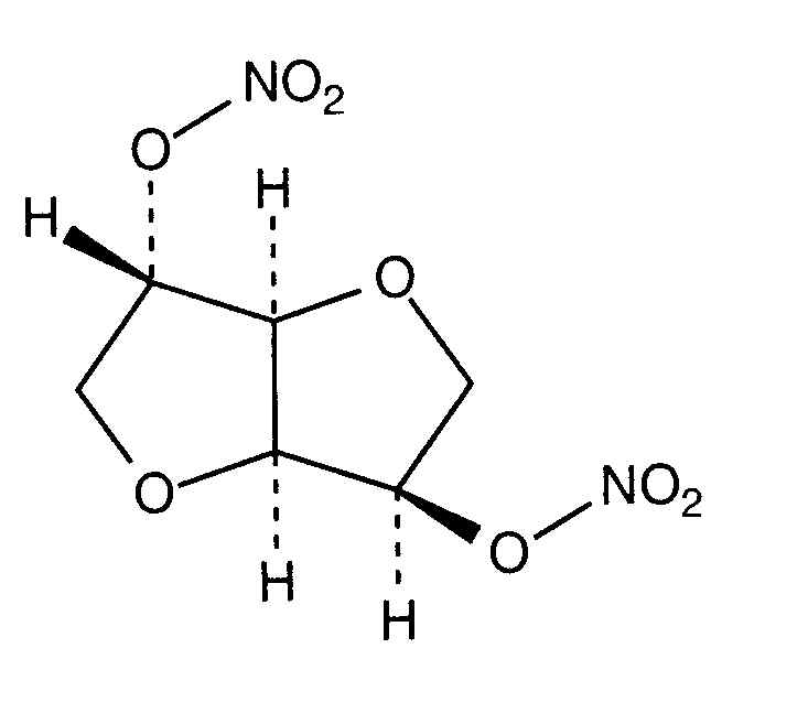
Vasodilator   Isosorbide dinitrate  
injection
Stability in solutions Stability of mixtures Factors which affect stability Compatibility Route of administration References pdf
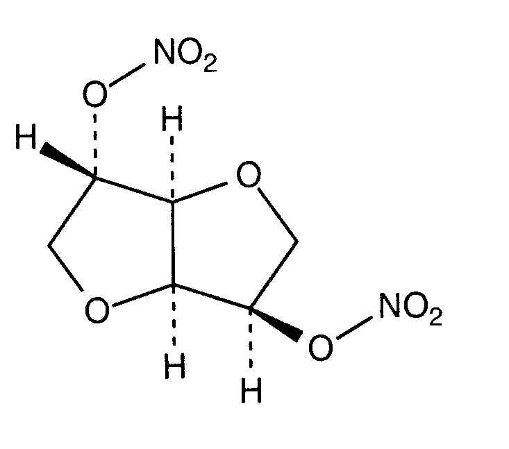
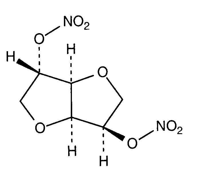
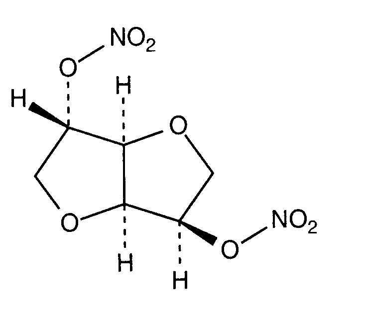
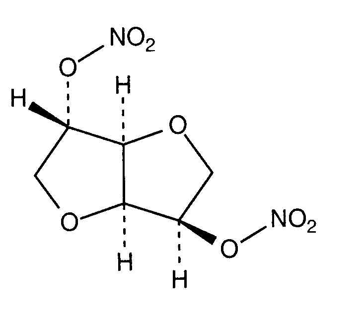
   Chemical structure  

Tradename   Tradename     

Trade names are indicative and excipients composition can be different depending on the country and manufacturers

Angsobide Malaysia
Cedocard Netherlands
Diniket Italy
Dinit Great Britain
Ekilbran Mexico
Isoket Austria, Egypt, Great Britain, Ireland, Luxembourg, Malaysia, Mexico, Peru, Poland, Portugal, Saudi Arabia, Switzerland, United Arab Emirates, Venezuela
Isonit Ecuador, Peru
Nitrosid Finland
Nitrosorbide Italy
Risordan France
Zanisor Mexico

Factors which affect stability   injection   Factors which affect stability : Isosorbide dinitrate        

  Mentions Légales