Son güncelleme :
31/03/2026
Vazodilatör   Isosorbide dinitrate  
Enjeksiyon
Çözeltilerin stabilitesi Karışımlardaki stabilitesi Stabiliteyi etkileyen faktörler Uyumluluk Uygulama yöntemi Kaynaklar pdf
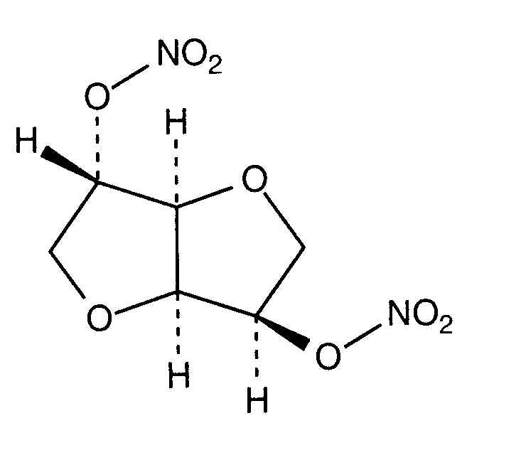
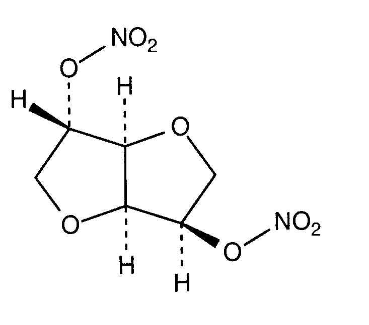
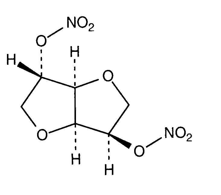
   Kimyasal yapı   

Ticari isim   Ticari isim     

Trade names are indicative and excipients composition can be different depending on the country and manufacturers

Angsobide Malezya
Cedocard Hollanda
Diniket İtalya
Dinit Büyük Britanya
Ekilbran Meksika
Isoket Avusturya, Birleşik Arap Emirlikleri, Büyük Britanya, İrlanda, İsviçre, Lüksemburg, Malezya, Meksika, Mısır, Peru, Polonya, Portekiz, Suudi Arabistan, Venezuela
Isonit Ekvador, Peru
Nitrosid Finlandiya
Nitrosorbide İtalya
Risordan Fransa
Zanisor Meksika

Stabiliteyi etkileyen faktörler    Enjeksiyon    Stabiliteyi etkileyen faktörler : Isosorbide dinitrate        

  Mentions Légales