Senaste uppdateringen :
05/12/2025
Vasodilaterare   Isosorbide dinitrate  
injektion
Lösningars stabilitet Stabilitet i blandningar Faktorer som påverkar stabiliteten Kompatibilitet Administreringssätt Hänvisningar pdf
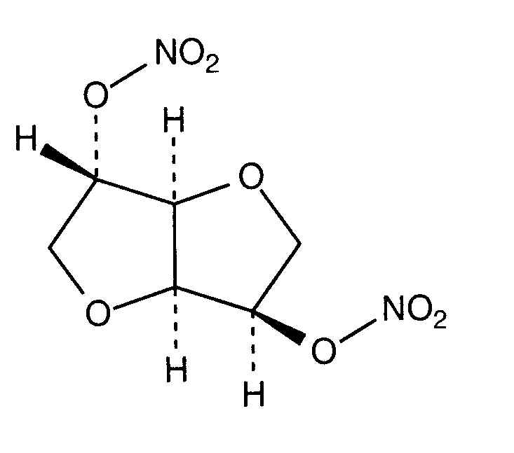
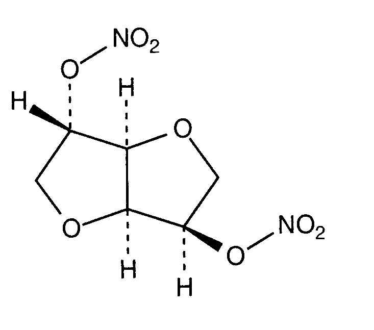
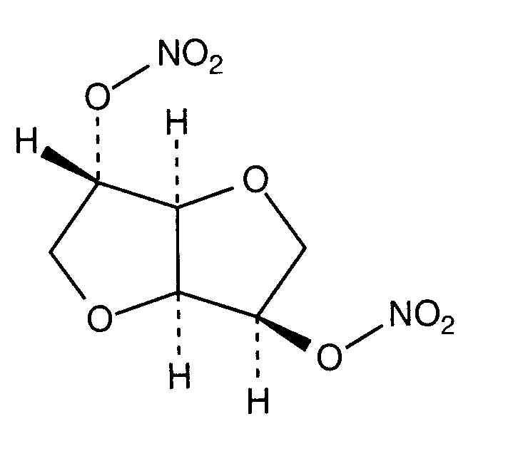
   Molekylstruktur  

Varunamn   Varunamn     

Angivna handelsnamn på läkemedel är enbart vägledande då formulering inklusive hjälpämnen kan variera mellan länder och tillverkare

Angsobide Malaysia
Cedocard Nederländerna
Diniket Italien
Dinit Storbritannien
Ekilbran Mexiko
Isoket Egypten, Förenade Arabemiraten, Irland, Luxemburg, Malaysia, Mexiko, Österrike, Peru, Polen, Portugal, Saudi-Arabien, Schweiz, Storbritannien, Venezuela
Isonit Ecuador, Peru
Nitrosid Finland
Nitrosorbide Italien
Risordan Frankrike
Zanisor Mexiko
Administreringssätt   Administreringssätt :Isosorbide dinitrate     
Voie
Intravenös infusion
Intraarteriell

  Mentions Légales