Останнє оновлення :
31/03/2026
Судинорозширювальний засіб   Isosorbide dinitrate  
ін'єкція
Стійкість в розчинах Стійкість сумішей Фактори, що впливають на стабільність Сумісність Шлях введення Список літератури pdf
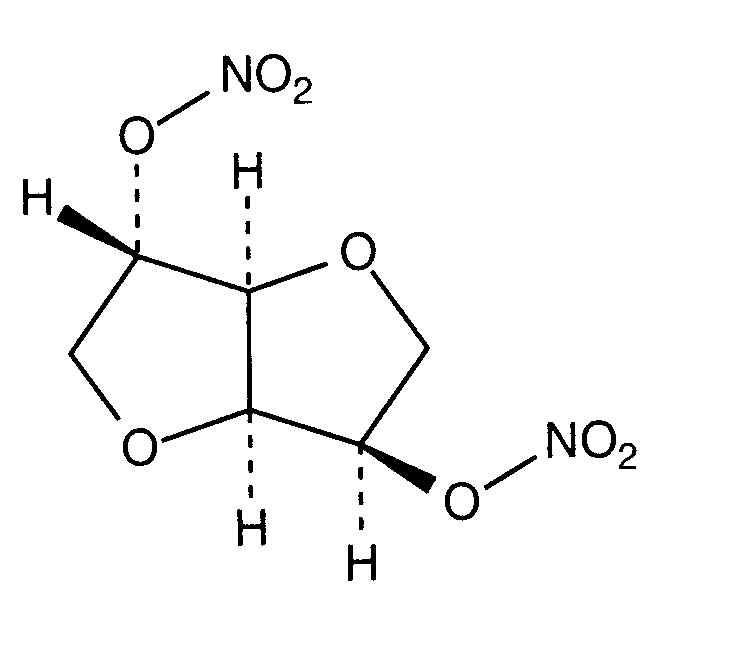
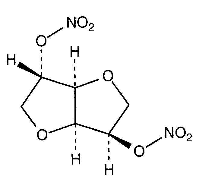
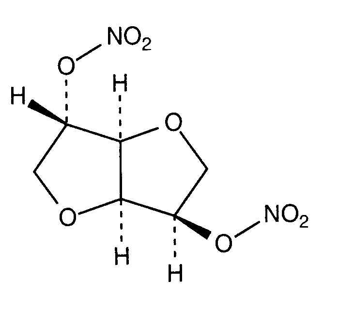
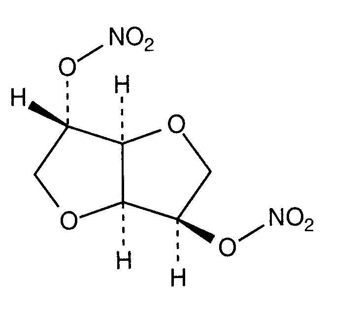
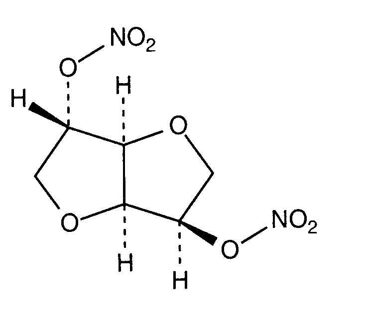
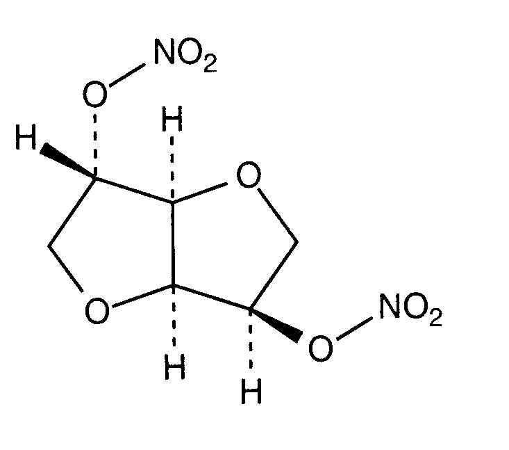
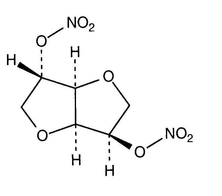
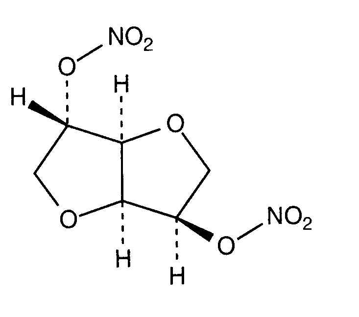
   Хімічна структура  

Торгова назва   Торгова назва     

Торгові назви є орієнтовними, а склад допоміжних речовин може бути різним залежно від країни та виробника

Angsobide Малайзія
Cedocard Нідерланди
Diniket Італія
Dinit Великобританія
Ekilbran Мексика
Isoket Єгипет, Ірландія, Австрія, Великобританія, Венесуела, Люксембург, Малайзія, Мексика, Об'єднані Арабські Емірати, Перу, Польща, Португалія, Саудівська Аравія, Швейцарія
Isonit Еквадор, Перу
Nitrosid Фінляндія
Nitrosorbide Італія
Risordan Франція
Zanisor Мексика

Фактори, що впливають на стабільність   ін'єкція   Фактори, що впливають на стабільність : Isosorbide dinitrate        

  Mentions Légales