Letztes “update” :
31/03/2026
Vasodilatator   Isosorbide dinitrate  
Injektion
Stabilität der Lösung Gemengestabilität Stabilitätbeeinflussende Faktoren Kompatibilitäten Applikationsart Literaturverzeichnis pdf
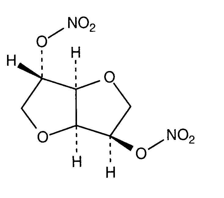
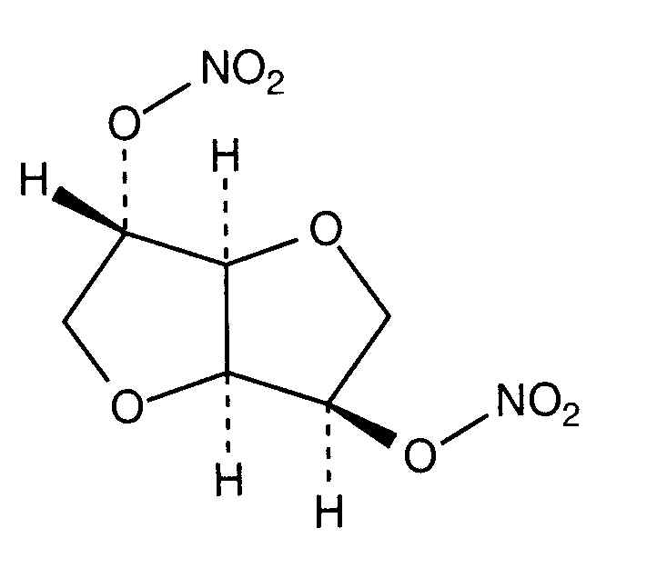
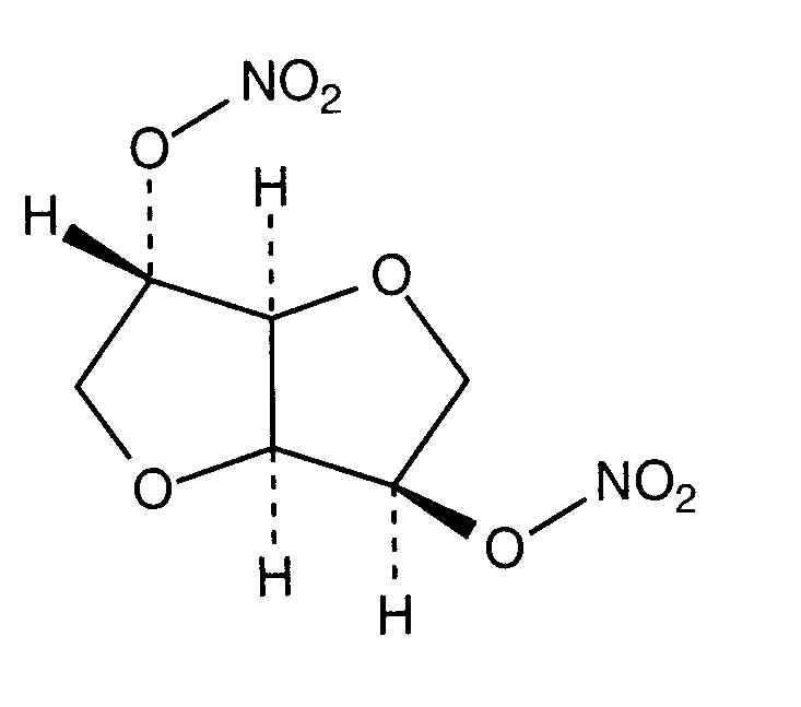
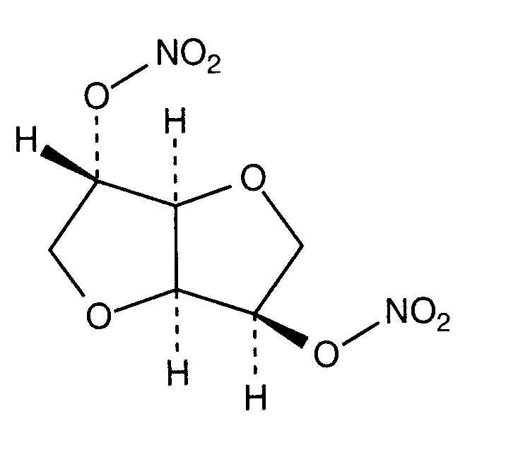
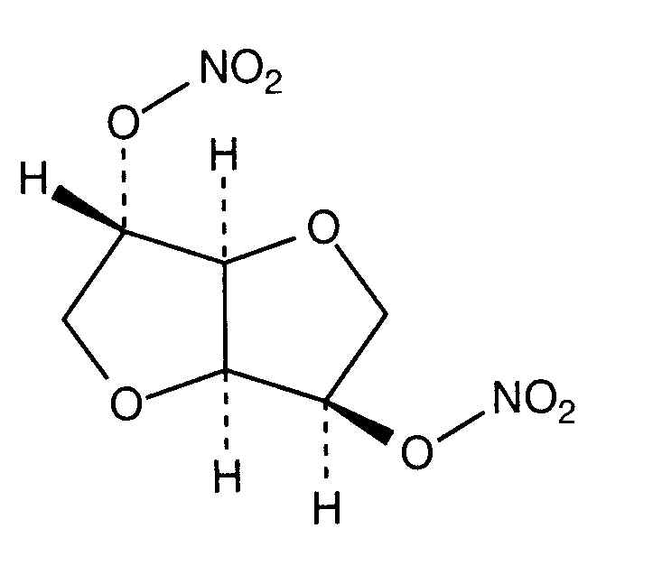
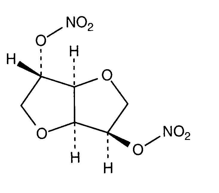
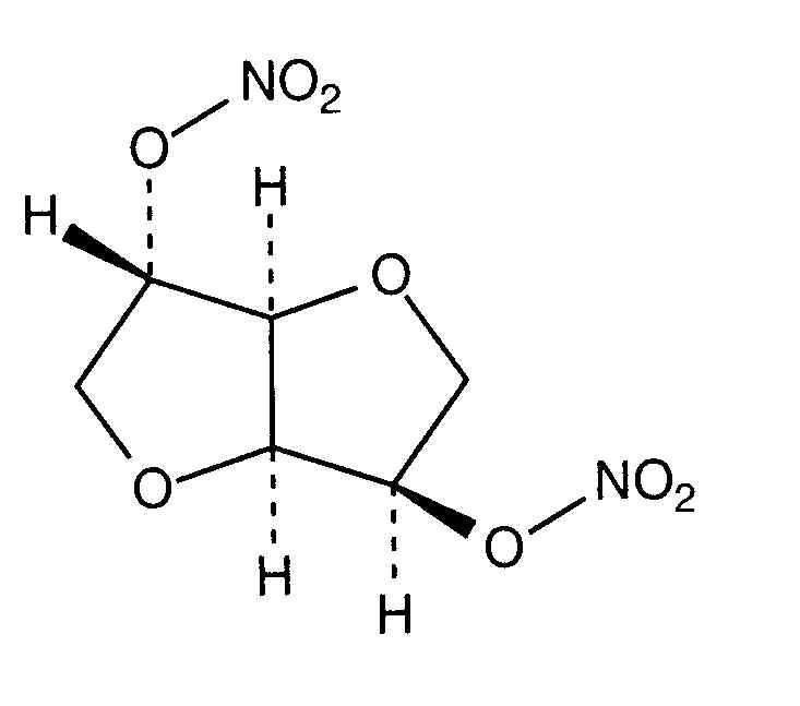
   Chemische Struktur  

Handelsmarke   Handelsmarke     

Handelsnamen sind als beispielhaft anzusehen. Sonstige Bestandteile können je nach Hersteller oder Land verschieden sein

Angsobide Malaysia
Cedocard Niederlande
Diniket Italien
Dinit Großbritannien
Ekilbran Mexiko
Isoket Ägypten, Großbritannien, Irland, Luxemburg, Malaysia, Mexiko, Österreich, Peru, Polen, Portugal, Saudi-Arabien, Schweiz, Venezuela, Vereinigte Arabische Emirate
Isonit Ecuador, Peru
Nitrosid Finnland
Nitrosorbide Italien
Risordan Frankreich
Zanisor Mexiko

Stabilitätbeeinflussende Faktoren   Injektion   Stabilitätbeeinflussende Faktoren : Isosorbide dinitrate        

  Mentions Légales