fermer
最新更新 :
16/12/2025
Infostab
药品清单
简要表
搜索兼容性
Y 站点兼容性表
引用文献
研究小組
valistab
海报
鏈接
贊助商
作者
使用指南
时讯
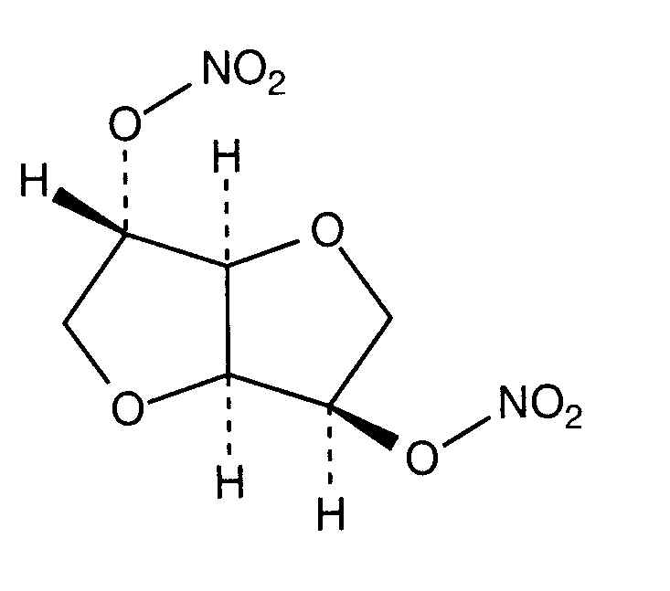
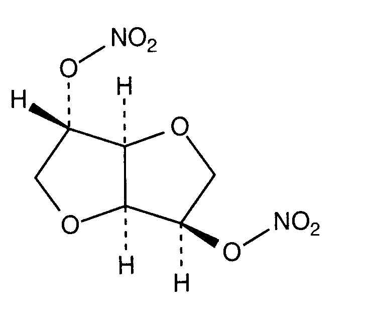
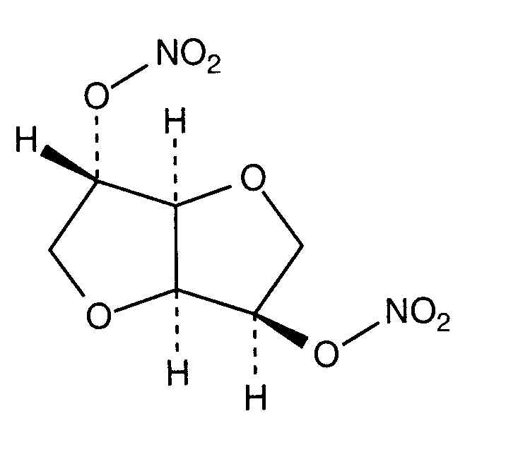
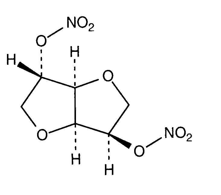
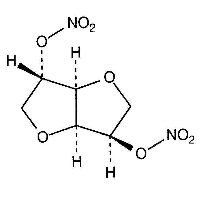
Isosorbide dinitrate
化学式
商品名
商品名仅供参考, 药品所用的辅料可能依国家或厂商不同有所不同。
Angsobide
马来西亚
Cedocard
荷兰
Diniket
意大利
Dinit
英国
Ekilbran
墨西哥
Isoket
卢森堡, 埃及, 墨西哥, 奥地利, 委内瑞拉, 沙特阿拉伯, 波兰, 爱尔兰, 瑞士, 秘鲁, 英国, 葡萄牙, 阿联酋, 马来西亚
Isonit
厄瓜多尔, 秘鲁
Nitrosid
芬兰
Nitrosorbide
意大利
Risordan
法国
Zanisor
墨西哥
影响稳定性的因素 : Isosorbide dinitrate
1147
1148
190
350
1102
1161
1332
1468
1148
Mentions Légales