zadnja posodobitev :
31/03/2026
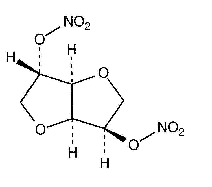
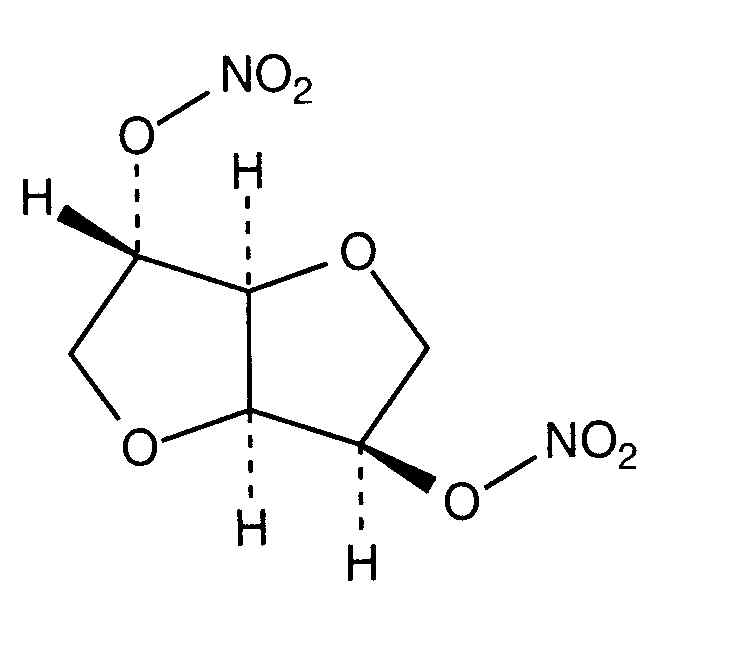
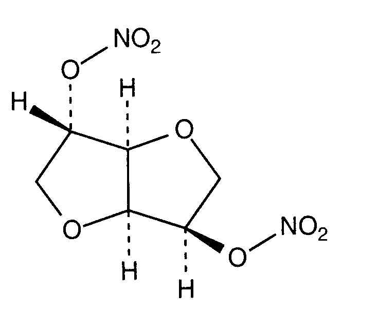
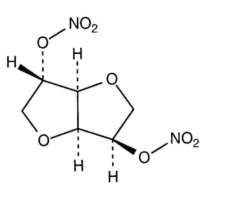
Vazodilatator   Isosorbide dinitrate  
Brizgalka
Stabilnost raztopine Stabilnost mešanice Faktorji, ki vplivajo na stabilnost Kompatibilnost način aplikacije Viri pdf
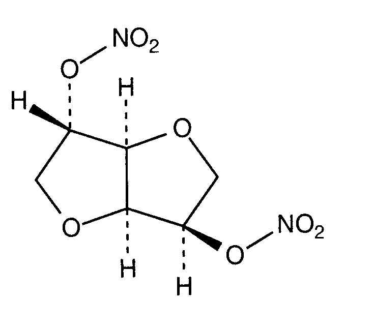
   Kemična formula  

Lastniško ime   Lastniško ime     

Sestava pomožnih snovi je med paralelami lahko različna

Angsobide Malezija
Cedocard Nizozemska
Diniket Italija
Dinit Velika Britanija
Ekilbran Mehika
Isoket Avstrija, Egipt, Irska, Luksemburg, Malezija, Mehika, Peru, Poljska, Portugalska, Savdska Arabija, Švica, Velika Britanija, Venezuela, Združeni arabski emirati
Isonit Ekvador, Peru
Nitrosid Finska
Nitrosorbide Italija
Risordan Francija
Zanisor Mehika

Faktorji, ki vplivajo na stabilnost   Brizgalka   Faktorji, ki vplivajo na stabilnost : Isosorbide dinitrate        

  Mentions Légales