Senaste uppdateringen :
31/03/2026
Vasodilaterare   Isosorbide dinitrate  
injektion
Lösningars stabilitet Stabilitet i blandningar Faktorer som påverkar stabiliteten Kompatibilitet Administreringssätt Hänvisningar pdf
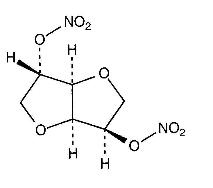
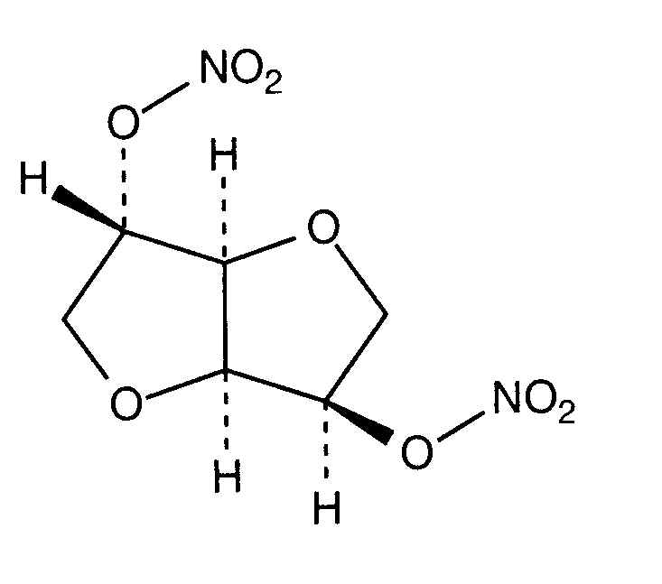
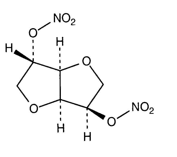
   Molekylstruktur  

Varunamn   Varunamn     

Angivna handelsnamn på läkemedel är enbart vägledande då formulering inklusive hjälpämnen kan variera mellan länder och tillverkare

Angsobide Malaysia
Cedocard Nederländerna
Diniket Italien
Dinit Storbritannien
Ekilbran Mexiko
Isoket Egypten, Förenade Arabemiraten, Irland, Luxemburg, Malaysia, Mexiko, Österrike, Peru, Polen, Portugal, Saudi-Arabien, Schweiz, Storbritannien, Venezuela
Isonit Ecuador, Peru
Nitrosid Finland
Nitrosorbide Italien
Risordan Frankrike
Zanisor Mexiko

Faktorer som påverkar stabiliteten   injektion   Faktorer som påverkar stabiliteten : Isosorbide dinitrate        

  Mentions Légales