Cập nhật lần cuối :
31/03/2026
Thuốc giãn mạch   Isosorbide dinitrate  
Dạng tiêm
Tính ổn định của các dung dịch Độ ổn định khi trộn lẫn Những yếu tố ảnh hưởng đến độ ổn định Khả năng tương thích Đường dùng Tài liệu tham khảo Pdf
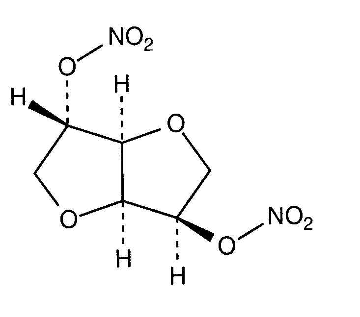
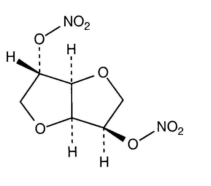
   Cấu trúc hóa học  

Tên thương mại   Tên thương mại     

Các tên thương mại được cung cấp và thành phần tá dược có thể khác nhau giữa các quốc gia và các hãng dược

Angsobide Malaysia
Cedocard Hà Lan
Diniket Ý
Dinit Anh
Ekilbran Mexico
Isoket Ả Rập, Ả Rập Saudi, Anh, Áo, Ba Lan, Bồ Đào Nha, Ireland, Luxembourg, Malaysia, Mexico, Peru, Thụy Sỹ, United Arab Emirates, Venezuela
Isonit Ecuador, Peru
Nitrosid Phần Lan
Nitrosorbide Ý
Risordan Pháp
Zanisor Mexico

Những yếu tố ảnh hưởng đến độ ổn định   Dạng tiêm   Những yếu tố ảnh hưởng đến độ ổn định : Isosorbide dinitrate        

  Mentions Légales