viimane versioon :
31/03/2026
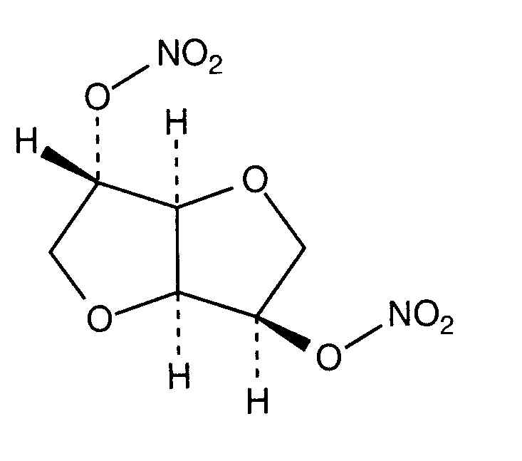
vasodilataator   Isosorbide dinitrate  
Süsteravim
Stabiilsus lahustes Stabiilsust mõjutavad tegurid stabiilsust mõjutavad faktorid Sobimatus Manustamis viis Viited pdf
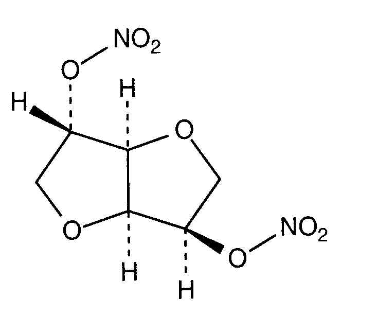
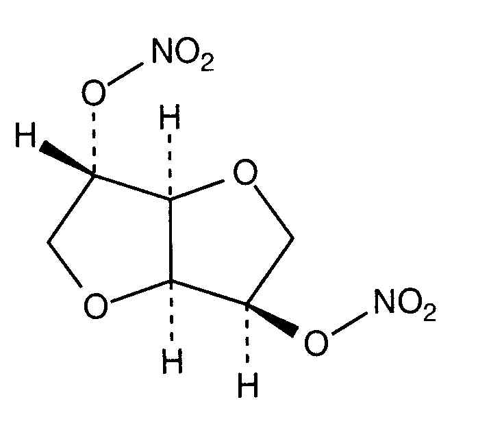
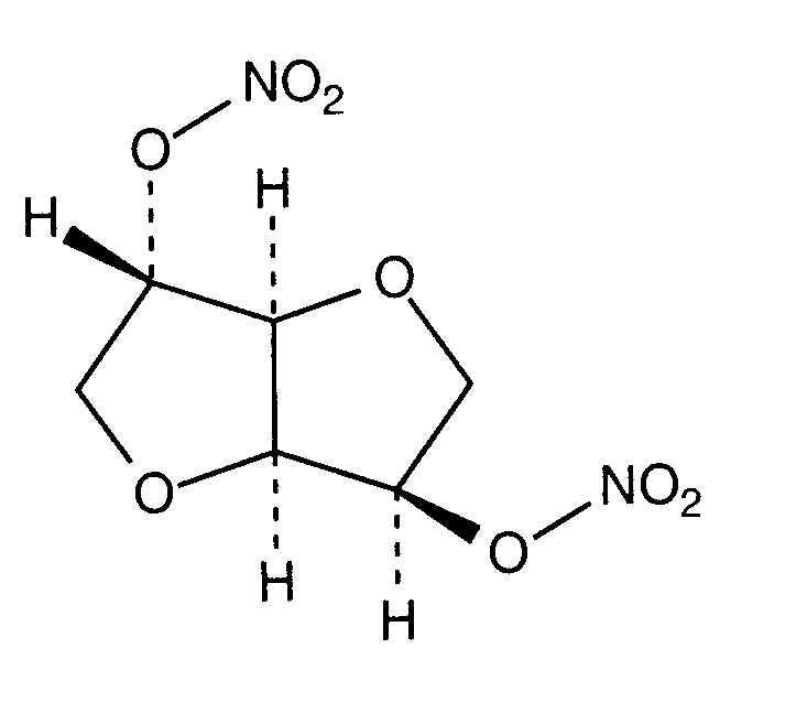
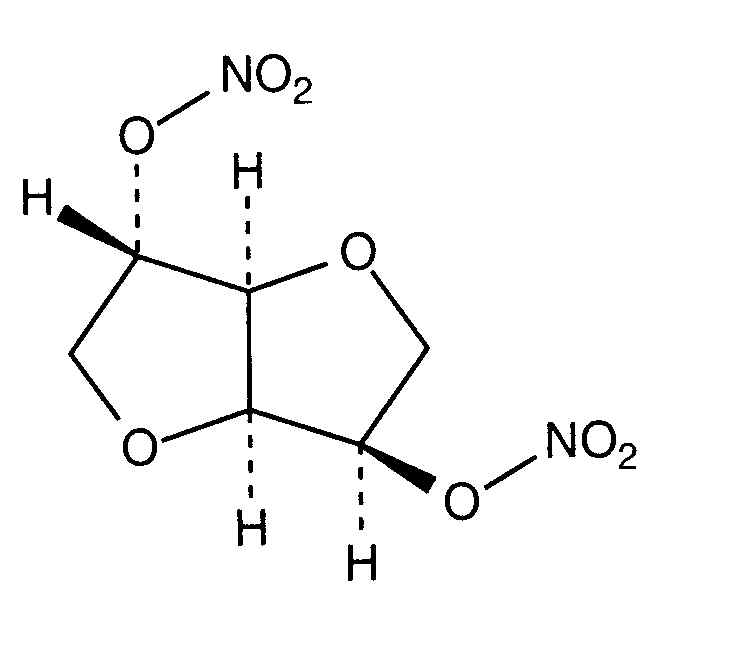
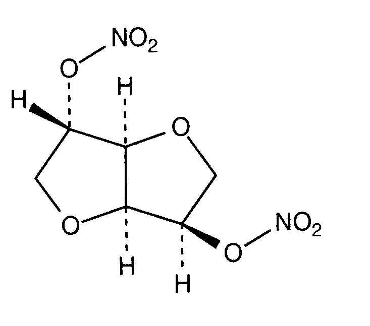
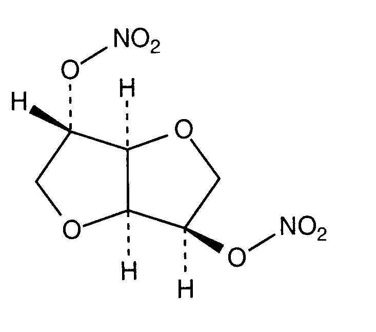
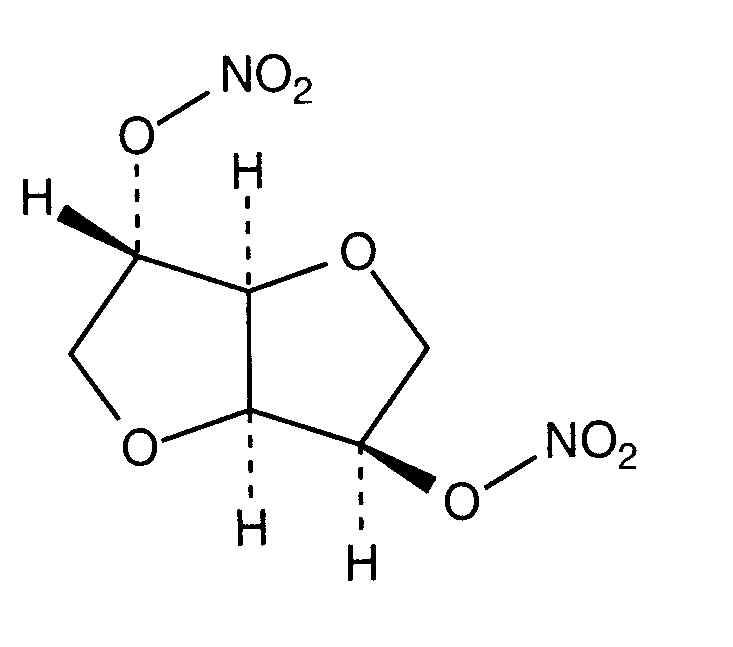
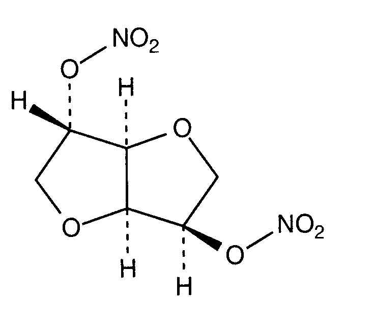
   keemiline struktuur  

Kaubanduslikud nimed erinevates maades   Kaubanduslikud nimed erinevates maades     

Preparaatide nimed on näitlikud ja abianete sisaldus võib erineda sõltuvalt riigist ja laborist

Angsobide Malaisia
Cedocard Holland
Diniket Itaalia
Dinit Suurbritannia
Ekilbran Mehhiko
Isoket Araabia Ühendemiraadid, Austria, Egiptus, Iirimaa, Luksemburg, Malaisia, Maroko, Mehhiko, Poola, Portugal, Saudi Araabia, Suurbritannia, Sveits, Venetsueela
Isonit Ecuador, Maroko
Nitrosid Soome
Nitrosorbide Itaalia
Risordan Prantsusmaa
Zanisor Mehhiko
Stabiilsust mõjutavad tegurid   Süsteravim   Stabiilsust mõjutavad tegurid : Isosorbide dinitrate     
andmed puuduvad

  Mentions Légales