Poslední aktualizace :
31/03/2026
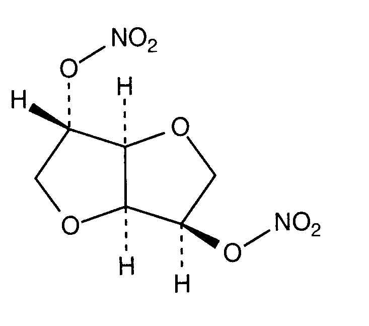
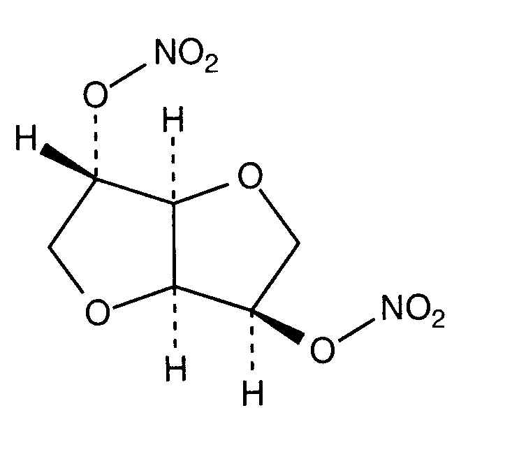
Kraujagysles plečiantis vaistas   Isosorbide dinitrate  
Įpurškimas
Tirpalų stabilumas Mišinių stabilumas Stabilumą lemiantys veiksniai Suderinamumas Leidimo būdai Bibliografija pdf
   Cheminė sandara  

Prekinis pavadinimas   Prekinis pavadinimas     

Trade names are indicative and excipients composition can be different depending on the country and manufacturers

Angsobide Malaizija
Cedocard Olandija
Diniket Italija
Dinit Didžioji Britanija
Ekilbran Meksikas
Isoket Airija, Austrija, Didžioji Britanija, Egiptas, Jungtiniai Arabų Emyratai, Lenkija, Liuksemburgas, Malaizija, Meksikas, Peru, Portugalija, Saudo Arabija, Šveicarija, Venesuela
Isonit Ekvadoras, Peru
Nitrosid Suomija
Nitrosorbide Italija
Risordan Prancūzija
Zanisor Meksikas

Stabilumą lemiantys veiksniai   Įpurškimas   Stabilumą lemiantys veiksniai : Isosorbide dinitrate        

  Mentions Légales