Última actualización :
27/04/2026
Vasodilatador   Isosorbide dinitrate  
Inyectables
Estabilidad en solucion Estabilidad en mezcla Factores que influyen sobre la estabilidad Compatibilidades método de inyección Bibliografía pdf
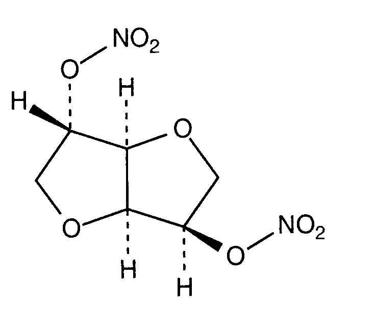
   Estructura química  

Nombre comercial   Nombre comercial     

Los nombres comerciales son orientativos y los excipientes de la formulación pueden ser distintos dependiendo del país y del laboratorio fabricante.

Angsobide Malasia
Cedocard Países Bajos
Diniket Italia
Dinit Gran Bretaña
Ekilbran México
Isoket Arabia Saudita, Austria, Egipto, Emiratos Árabes Unidos, Gran Bretaña, Irlanda, Luxemburgo, Malasia, Marruecos, México, Polonia, Portugal, Suiza, Venezuela
Isonit Ecuador, Marruecos
Nitrosid Finlandia
Nitrosorbide Italia
Risordan Francia
Zanisor México
Compatibilidades   Inyectables   Compatibilidades : Isosorbide dinitrate              
Esta pantalla muestra las compatibilidades o incompatibilidades, así como el tipo de incompatibilidad (precipitación, cambio de color, modificación de una emulsión, etc). Las compatibilidades que se recogen aquí son fundamentalmente físicas, mostrando raramente la estabilidad química de la molécula. La evaluación de estas mezclas se estudió con el fin de de comprobar la posibilidad de administración en Y al paciente. Estos datos no pueden utilizarse en el caso de la preparación de mezclas dentro de bolsas o jeringas. Este tipo de información está disponible en la pantalla “Estabilidad en mezcla”.
Molécula Solvente Bibliografía

  Mentions Légales