Последно актуализиране :
27/04/2026
Вазодилататор   Isosorbide dinitrate  
Инжекция/Инжекционен
Стабилност на разтвори Стабилност на смеси Фактори, повлияващи стабилността Съвместимост Път на въвеждане Библиография Pdf
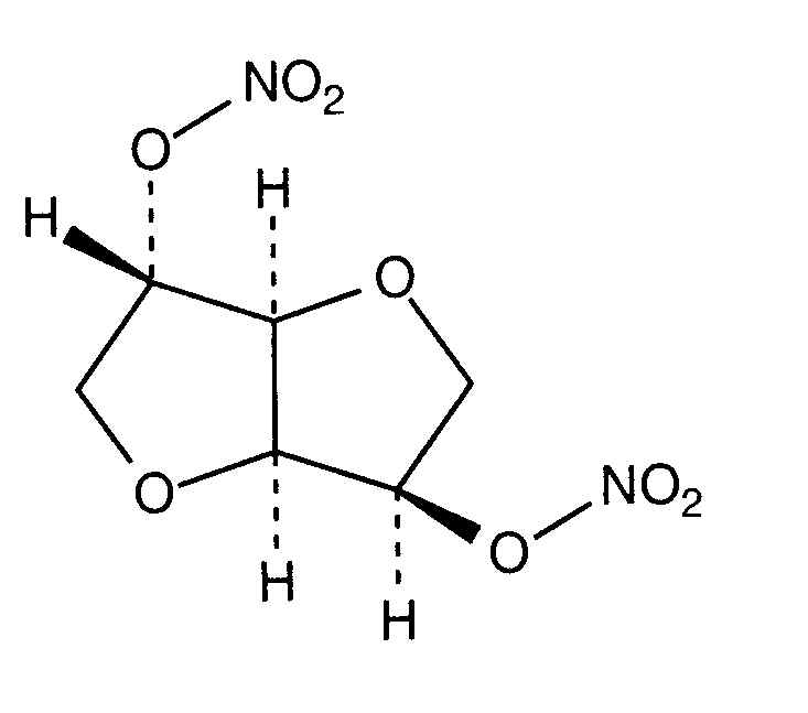
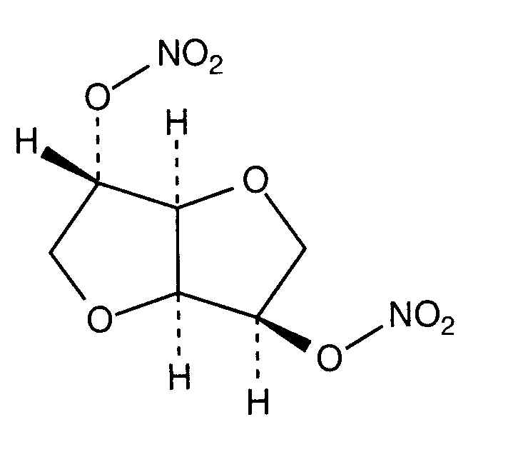
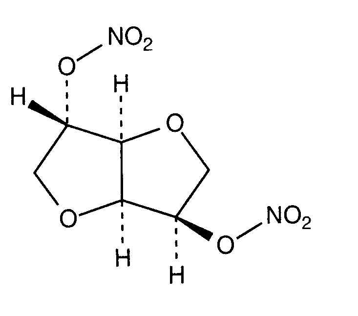
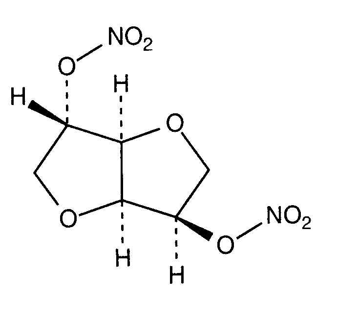
   Химична структура  

Търговско наименование   Търговско наименование     

Търговските имена са примерни и съставът на помощните вещества може да бъде различен в зависимост от държавата и лабораториите

Angsobide Малайзия
Cedocard Холандия
Diniket Италия
Dinit Великобритания
Ekilbran Мексико
Isoket Австрия, Великобритания, Венецуела, Египет, Ирландия, Люксенбург, Малайзия, Мексико, Обединени арабски емирства, Перу, Полша, Португалия, Саудитска Арабия, Швейцария
Isonit Еквадор, Перу
Nitrosid Финландия
Nitrosorbide Италия
Risordan Франция
Zanisor Мексико
Съвместимост   Инжекция/Инжекционен   Съвместимост : Isosorbide dinitrate              
Този екран показва съвместимостта или несъвместимостта с, в този случай, вида на несъвместимостта (утаяване, промяна на цвета, модификация на емулсия и др.). Показаните тук съвместимости са предимно физически, като рядко се оценява химическата стабилност на всяка молекула. Оценката на тези смеси беше проучена, за да се разгледа възможността за приложение на Y-място на пациента. Тези данни не могат да се използват за предварително приготвяне на смеси в торбички или спринцовки. Този тип информация е достъпна на екрана "Стабилност в сместа".
Състав / молекула Разтворител Библиография

  Mentions Légales