Последнее обновление :
27/04/2026
Сосудорасширяющее средство   Isosorbide dinitrate  
Инъекция
Стабильность растворов Стабильность смесей Факторы, которые влияют на стабильность Совместимость Способы введения Библиография pdf
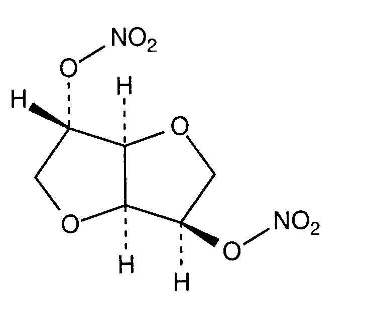
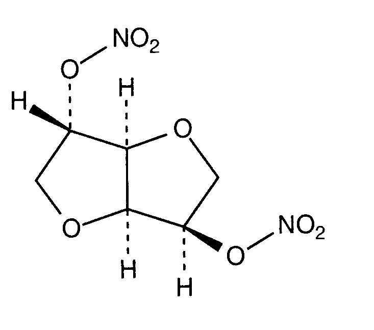
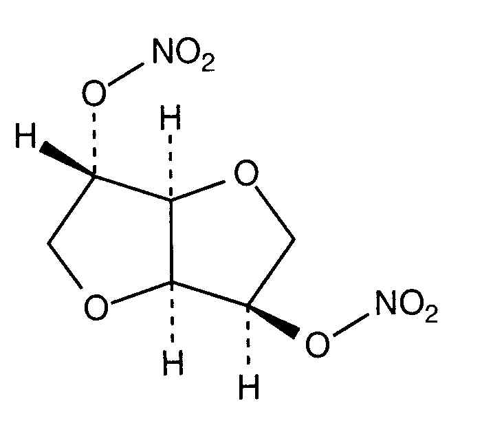
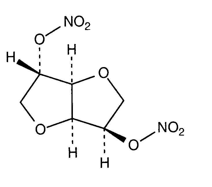
   Химическая структура  

Товарное название   Товарное название     

Trade names are indicative and excipients composition can be different depending on the country and manufacturers

Angsobide Малайзия
Cedocard Голландия
Diniket Италия
Dinit Великобритания
Ekilbran Мексика
Isoket Австрия, Великобритания, Венесуэла, Египет, Ирландия, Люксембург, Малайзия, Мексика, Объединенные Арабские Эмираты, Перу, Польша, Португалия, Саудовская Аравия, Швейцария
Isonit Перу, Эквадор
Nitrosid Финляндия
Nitrosorbide Италия
Risordan Франция
Zanisor Мексика
Совместимость   Инъекция   Совместимость : Isosorbide dinitrate              
Эта таблица показывает совместимость или несовместимость препаратов, по возможности тип несовместимости (преципитат, смена цвета, разложение эмульсии и др.). Показанные здесь совместимости в основном физические, по возможности указана и химическая стабильность каждой молекулы. Анализ этих смесей произведён для исследования возможности ввести препараты пациенту в Y-соединении систем. Эти данные нельзя использовать, чтобы приготовить лекарства на будущее в мешках или шприцах. Эта информация доступна в разделе "Стабильность смесей".
Молекула Растворитель Ссылки

  Mentions Légales