fermer
zadnja posodobitev :
12/12/2025
Infostab
Seznami
Seznami
Poiščite združljivosti
Tabela združljivosti Y-strani
Viri
raziskovalne skupine
valistab
poster
Povezave
sponzorji
Avtor
Navodilo za uporabo
Newsletter
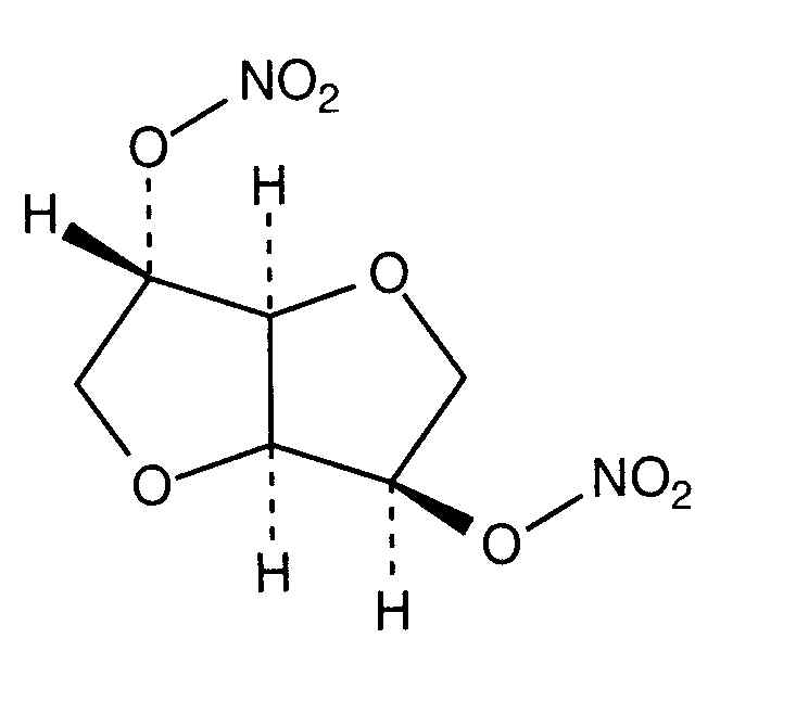
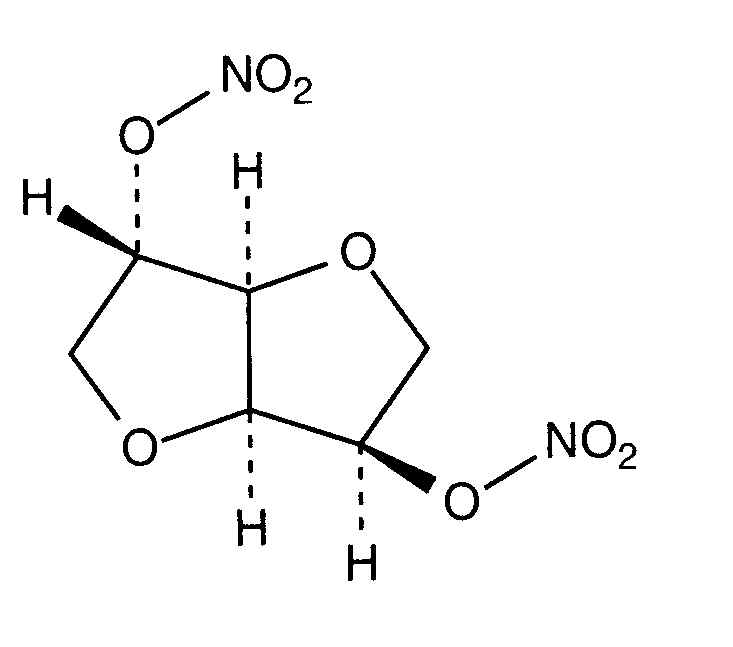
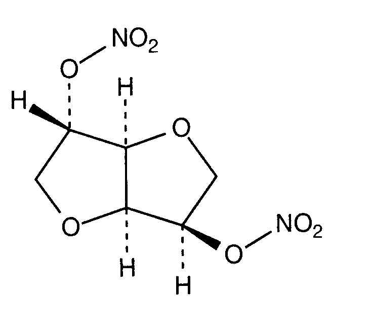
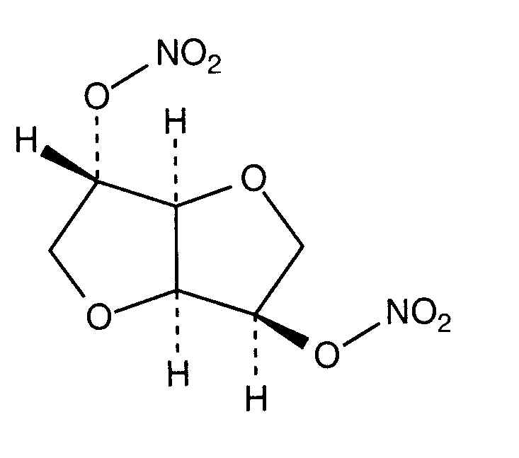
Isosorbide dinitrate
Kemična formula
Lastniško ime
Sestava pomožnih snovi je med paralelami lahko različna
Angsobide
Malezija
Cedocard
Nizozemska
Diniket
Italija
Dinit
Velika Britanija
Ekilbran
Mehika
Isoket
Avstrija, Egipt, Irska, Luksemburg, Malezija, Mehika, Peru, Poljska, Portugalska, Savdska Arabija, Švica, Velika Britanija, Venezuela, Združeni arabski emirati
Isonit
Ekvador, Peru
Nitrosid
Finska
Nitrosorbide
Italija
Risordan
Francija
Zanisor
Mehika
Kompatibilnost : Isosorbide dinitrate
Ta zaslon prikazuje združljivost ali nezdružljivost s, v tem primeru, vrsto nezdružljivosti (padavine, sprememba barve, sprememba emulzije itd.). Tu prikazane združljivosti so večinoma samo fizične, pri čemer se kemijska stabilnost vsake molekule redko ocenjuje. Vrednotenje teh zmesi so preučevali, da bi preučili možnost pacientovega dajanja na mestu Y. Teh podatkov ni mogoče uporabiti za pripravo mešanic v vrečkah ali brizgah. Ta vrsta informacij je na voljo na zaslonu "Obstojnost v mešanici".
Isosorbide dinitrate
0.2 mg/ml
Cefepime dihydrochloride
125 mg/ml
2141
Isosorbide dinitrate
0.2 mg/ml
Ceftazidime
125 mg/ml
2141
Isosorbide dinitrate
1 mg/ml
Furosemide
1 mg/ml
1232
Isosorbide dinitrate
1 mg/ml
Insulin
1 UI/ml
4698
Isosorbide dinitrate
1 mg/ml
Nefopam
0,16 mg/ml
4698
Isosorbide dinitrate
0.2 mg/ml
Temocilline
83.33 mg/ml
2231
Isosorbide dinitrate
1067
Isosorbide dinitrate
0.2 mg/ml
Vancomycin hydrochloride
10 mg/ml
3385
Isosorbide dinitrate
1067
Mentions Légales