最新更新 :
27/04/2026
Infostab
薬剤一覧
まとめ一覧
互換性の検索
Yサイト対応表
引用文献
研究チーム
valistab
ポスター
接続
スポンサー
作成者
ユーザーガイド
ニュースレター
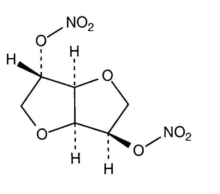
Isosorbide dinitrate
化学構造
商品名
商品名、賦形剤は国、製薬会社ごとに異なることがあります
Angsobide
マレーシア
Cedocard
オランダ
Diniket
イタリア
Dinit
イギリス
Ekilbran
メキシコ
Isoket
アイルランド, アラブ首長国連邦, イギリス, エジプト, オーストリア, サウジアラビア, スイス, ベネズエラ, ペルー, ポルトガル, ポーランド, マレーシア, メキシコ, ルクセンブルグ
Isonit
エクアドル, ペルー
Nitrosid
フィンランド
Nitrosorbide
イタリア
Risordan
フランス
Zanisor
メキシコ
互換性 : Isosorbide dinitrate
This screen indicates the compatibilities or incompatibilities with, in this case, the type of incompatibility (precipitation, color change, modification of an emulsion, etc.). The compatibilities shown here are mostly physical only, with the chemical stability of each molecule rarely being assessed. The evaluation of these mixtures was studied to consider the possibility of Y-site administration to the patient. These data cannot be used for making mixtures in advance in bags or syringes. This type of information is available in the screen "Stability in mixture ».
Isosorbide dinitrate
0.2 mg/ml
Cefepime dihydrochloride
125 mg/ml
2141
Isosorbide dinitrate
0.2 mg/ml
Ceftazidime
125 mg/ml
2141
Isosorbide dinitrate
1 mg/ml
Furosemide
1 mg/ml
1232
Isosorbide dinitrate
1 mg/ml
Insulin
1 UI/ml
4698
Isosorbide dinitrate
1 mg/ml
Nefopam
0,16 mg/ml
4698
Isosorbide dinitrate
0.2 mg/ml
Temocilline
83.33 mg/ml
2231
Isosorbide dinitrate
1067
Isosorbide dinitrate
0.2 mg/ml
Vancomycin hydrochloride
10 mg/ml
3385
Isosorbide dinitrate
1067
Mentions Légales