Ostatnia aktualizacja :
27/11/2025
Lek rozszerzający naczynia   Isosorbide dinitrate  
Injekcje
Trwałość roztworów Trwałość w mieszaninie Czynnik wpływający na trwałość Zgodność Sposób podania Bibliografia pdf
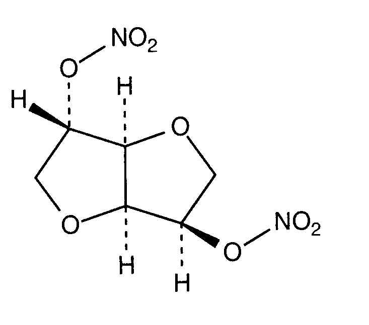
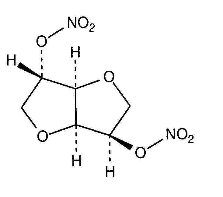
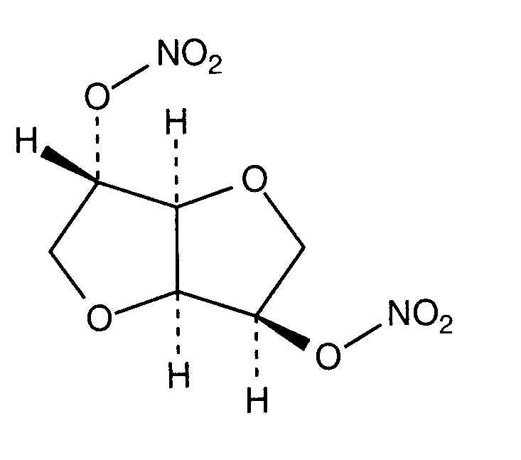
   Struktura chemiczna  

Nazwa handlowa   Nazwa handlowa     

Trade names are indicative and excipients composition can be different depending on the country and manufacturers

Angsobide Malezja
Cedocard Holandia
Diniket Włochy
Dinit Wielka Brytania
Ekilbran Meksyk
Isoket Arabia Saudyjska, Austria, Egipt, Irlandia, Luksemburg, Malezja, Meksyk, Peru, Polska, Portugalia, Szwajcaria, Wenezuela, Wielka Brytania, Zjednoczone Emiraty Arabskie
Isonit Ekwador, Peru
Nitrosid Finlandia
Nitrosorbide Włochy
Risordan Francja
Zanisor Meksyk
Zgodność   Injekcje   Zgodność : Isosorbide dinitrate              
Ekran ten wskazuje na kompatybilności lub niezgodności z, w tym przypadku, rodzajem niezgodności (strącanie, zmiana koloru, modyfikacja emulsji, itp.). Przedstawione tutaj kompatybilności są głównie fizyczne, a stabilność chemiczna każdej cząsteczki jest rzadko oceniana. Ocenę tych mieszanin badano w celu rozważenia możliwości podania pacjentowi w miejscu Y. Dane te nie mogą być wykorzystywane do sporządzania mieszanin z wyprzedzeniem w workach lub strzykawkach. Tego typu informacje są dostępne na ekranie „Stabilność w mieszaninie”.
Związek Rozpuszczalnik Bibliografia

  Mentions Légales