Poslední aktualizace :
27/11/2025
Vasodilatans   Isosorbide dinitrate  
injekce
Stabilita roztoků Stabilita směsí Faktory ovlivňující stabilitu Kompatibilita Způsoby aplikace Odkazy pdf
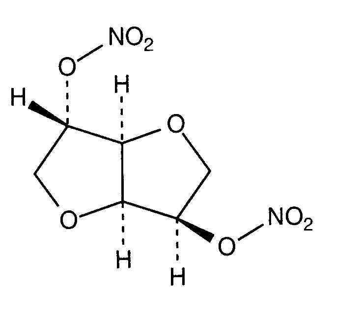
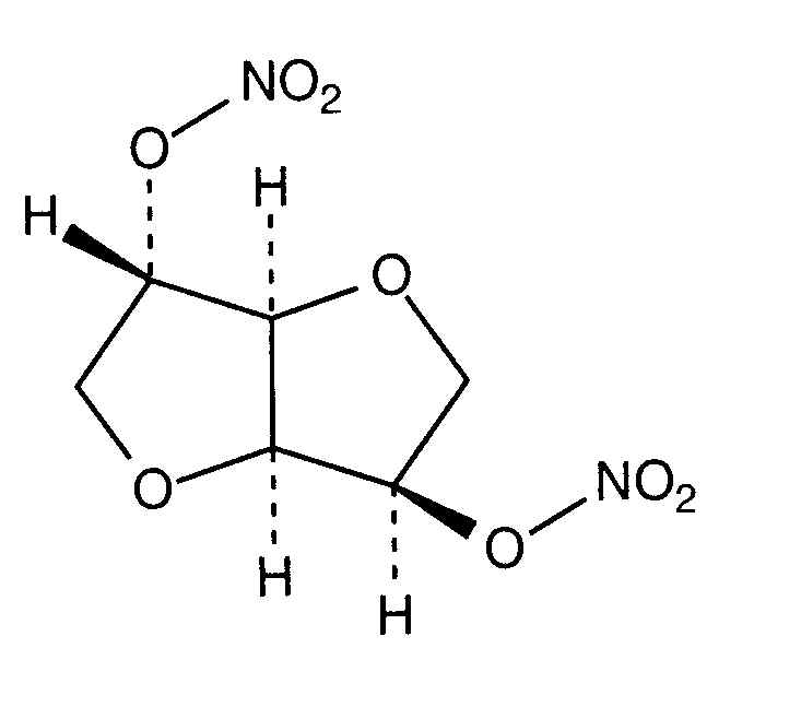
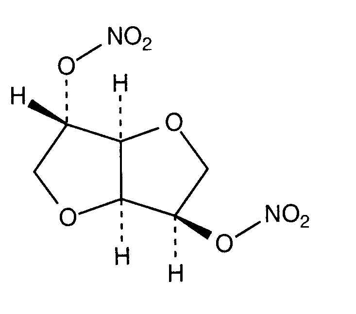
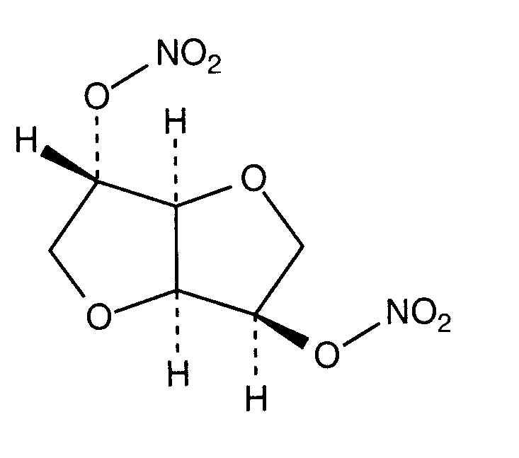
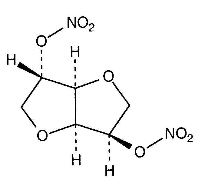
   Chemický vzorec  

Obchodní název   Obchodní název     

Trade names are indicative and excipients composition can be different depending on the country and manufacturers

Angsobide Malajsie
Cedocard Nizozemsko
Diniket Itálie
Dinit Velká Británie
Ekilbran Mexiko
Isoket Egypt, Irsko, Lucembursko, Malajsie, Mexiko, Peru, Polsko, Portugalsko, Rakousko, Saúdská Arábie, Spojené arabské emiráty, Švýcarsko, Velká Británie, Venezuela
Isonit Ekvádor, Peru
Nitrosid Finsko
Nitrosorbide Itálie
Risordan Francie
Zanisor Mexiko
Kompatibilita   injekce   Kompatibilita : Isosorbide dinitrate              
Tato obrazovka ukazuje kompatibilitu nebo nekompatibilitu s, v tomto případě, typem nekompatibility (srážení, změna barvy, modifikace emulze atd.). Zde uvedené kompatibility jsou většinou pouze fyzikální, přičemž chemická stabilita každé molekuly je zřídka hodnocena. Hodnocení těchto směsí bylo studováno, aby se zvážila možnost podání Y-místa pacientovi. Tyto údaje nelze použít k přípravě směsí předem v pytlích nebo stříkačkách. Tento typ informací je k dispozici na obrazovce „Stabilita ve směsi“.
SlouËenina RozpouötÏdlo Odkazy

  Mentions Légales