fermer
Pēdējā atjaunošana :
16/12/2025
Infostab
Saraksti
Kopsavilkums
Meklēt saderības
Y-savienojuma saderības tabula
Literatūras saraksts
pētniecības grupas
valistab
plakāts
Savienojumi
sponsori
Autori
Lietošanas instrukcija
Newsletter
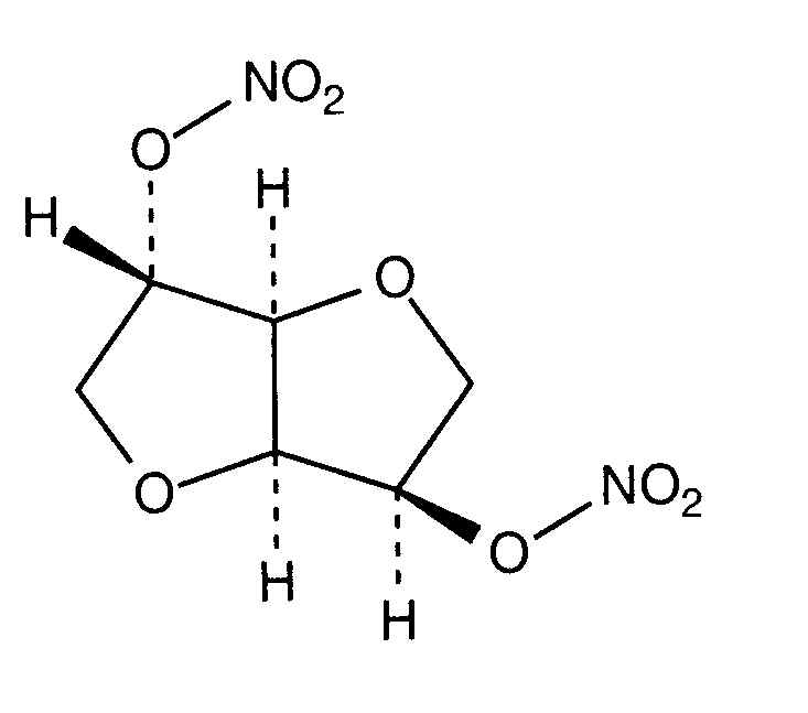
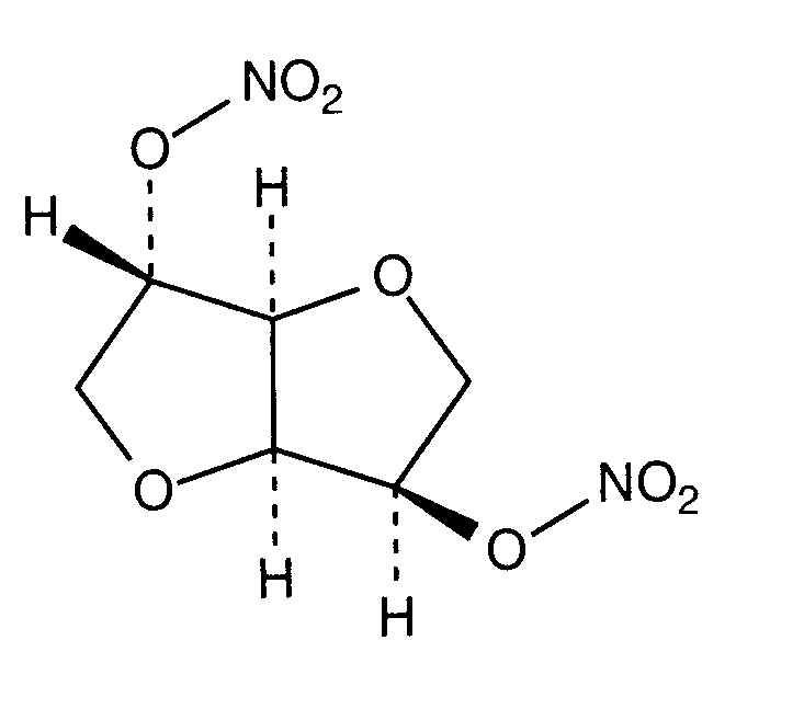
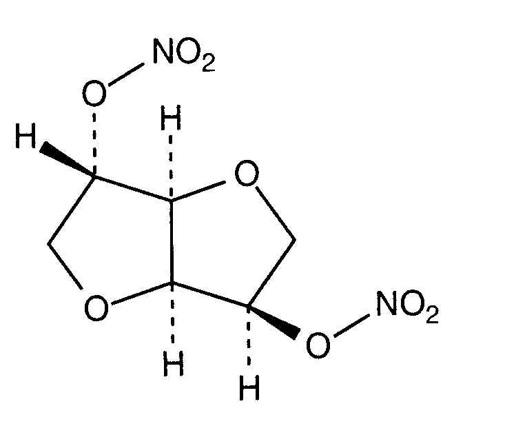
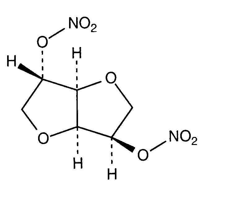
Isosorbide dinitrate
Ķīmiskā uzbūve
Oriģinālais nosaukums
Tirdzniecības nosaukumi ir apzīmējoši un palīgvielas var atšķirties dažādām valstīm un laboratorijām
Angsobide
Malaizija
Cedocard
Holande
Diniket
Itālija
Dinit
Lielbritānija
Ekilbran
Meksika
Isoket
Apvienotie Arābu Emirāti, Austrija, Ēģipte, Īrija, Lielbritānija, Luksemburga, Malaizija, Meksika, Peru, Polija, Portugāle, Saūda Arābija, Šveice, Venecuēla
Isonit
Ekvadora, Peru
Nitrosid
Somija
Nitrosorbide
Itālija
Risordan
Francija
Zanisor
Meksika
Saderība : Isosorbide dinitrate
Šī tabula parāda zāļu saderību vai nesaderību, pēc iespējas arī nesaderības tipu (precipitācija, krāsas maiņa, emulsijas sadalīšanās utt). Parādītas šeit saderības ir pārsvarā tikai fizikālās, pēc iespējas tiek parādīta ķīmiskā stabilitāte katrai molekulai. Šo maisījumu analīze tikai veikta, lai izprastu iespējamību ievadīt zāles Y-savienojuma vietā sistēmā pacientam. Šie dati nevar tikt izmantoti, lai pagatavot zāļu maisījumus vēlākai lietošanai maisos vai šļircēs. Šī informācija ir pieejama sadaļā "Maisījuma stabilitāte".
Isosorbide dinitrate
0.2 mg/ml
Cefepime dihydrochloride
125 mg/ml
2141
Isosorbide dinitrate
0.2 mg/ml
Ceftazidime
125 mg/ml
2141
Isosorbide dinitrate
1 mg/ml
Furosemide
1 mg/ml
1232
Isosorbide dinitrate
1 mg/ml
Insulin
1 UI/ml
4698
Isosorbide dinitrate
1 mg/ml
Nefopam
0,16 mg/ml
4698
Isosorbide dinitrate
0.2 mg/ml
Temocilline
83.33 mg/ml
2231
Isosorbide dinitrate
1067
Isosorbide dinitrate
0.2 mg/ml
Vancomycin hydrochloride
10 mg/ml
3385
Isosorbide dinitrate
1067
Mentions Légales