Ultimele actualizari :
31/03/2026
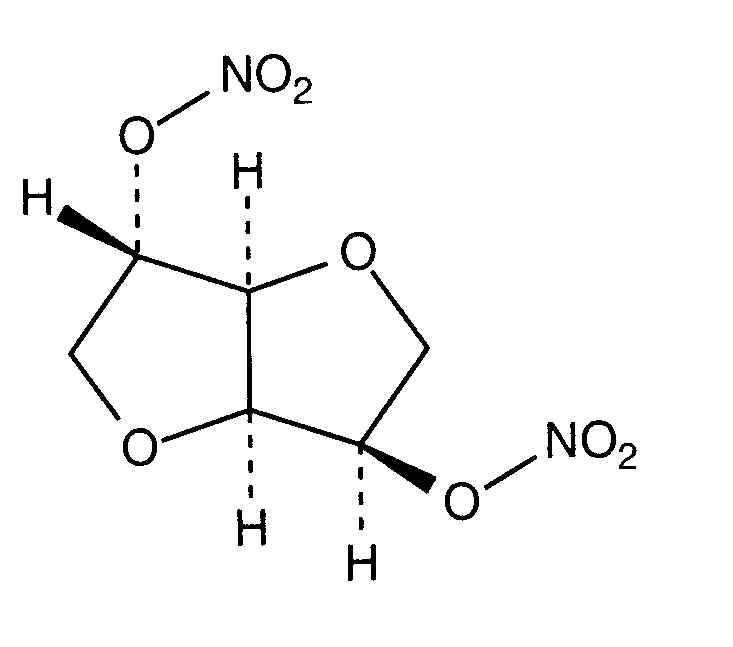
Vasodilatator   Isosorbide dinitrate  
Injectabil
Stabilitatea in solutie Stabilitatea in amestec Factorii care influenteaza stabilitatea Compatibilitate Microunde Bibliografie pdf
   Formula chimica  

Denumirea comerciala   Denumirea comerciala     

Trade names are indicative and excipients composition can be different depending on the country and manufacturers

Angsobide Malaezia
Cedocard Olanda
Diniket Italia
Dinit Marea Britanie
Ekilbran Mexic
Isoket Arabia Saudita, Austria, Egipt, Elvetia, Emiratele Arabe Unite, Irlanda, Luxemburg, Malaezia, Marea Britanie, Mexic, Peru, Polonia, Portugalia, Venezuela
Isonit Ecuador, Peru
Nitrosid Finlanda
Nitrosorbide Italia
Risordan Franta
Zanisor Mexic
Compatibilitate   Injectabil   Compatibilitate : Isosorbide dinitrate              
Acest ecran indică compatibilitățile sau incompatibilitățile cu, în acest caz, tipul de incompatibilitate (precipitații, schimbarea culorii, modificarea unei emulsii etc.). Compatibilitățile prezentate aici sunt în mare parte numai fizice, stabilitatea chimică a fiecărei molecule fiind rareori evaluată. Evaluarea acestor amestecuri a fost studiată pentru a lua în considerare posibilitatea administrării site-ului Y la pacient. Aceste date nu pot fi utilizate pentru prepararea în prealabil a amestecurilor în pungi sau seringi. Acest tip de informații este disponibil în ecranul „Stabilitate în amestec».
Molecula (substanta activa) Solvent Bibiografie

  Mentions Légales