Останнє оновлення :
27/01/2026
Антибіотик   Dapsone  
Мазі
Розчин для перорального застосування
Стабільність фармацевтичних препаратів Стійкість сумішей Фактори, що впливають на стабільність Сумісність Список літератури pdf
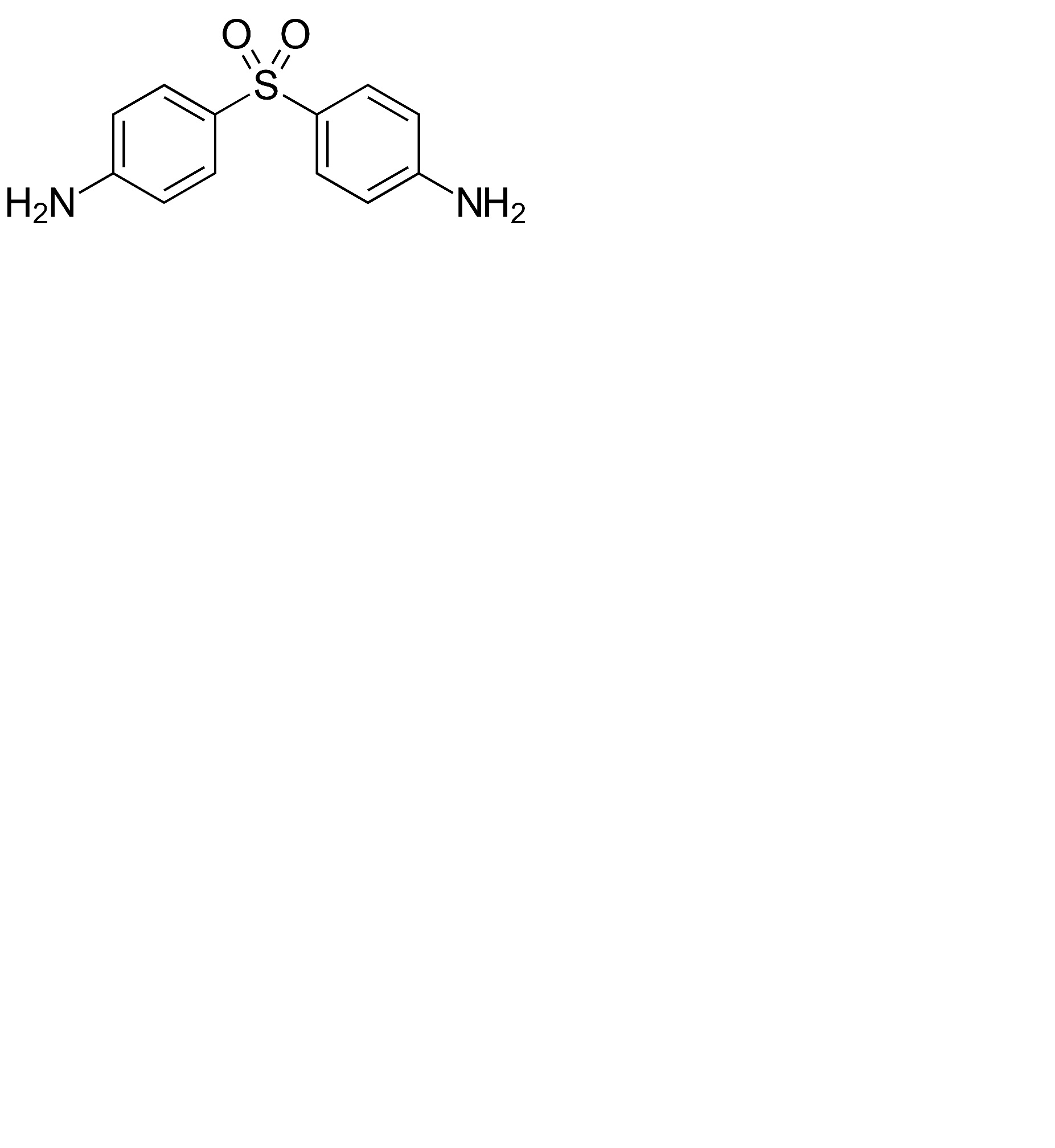
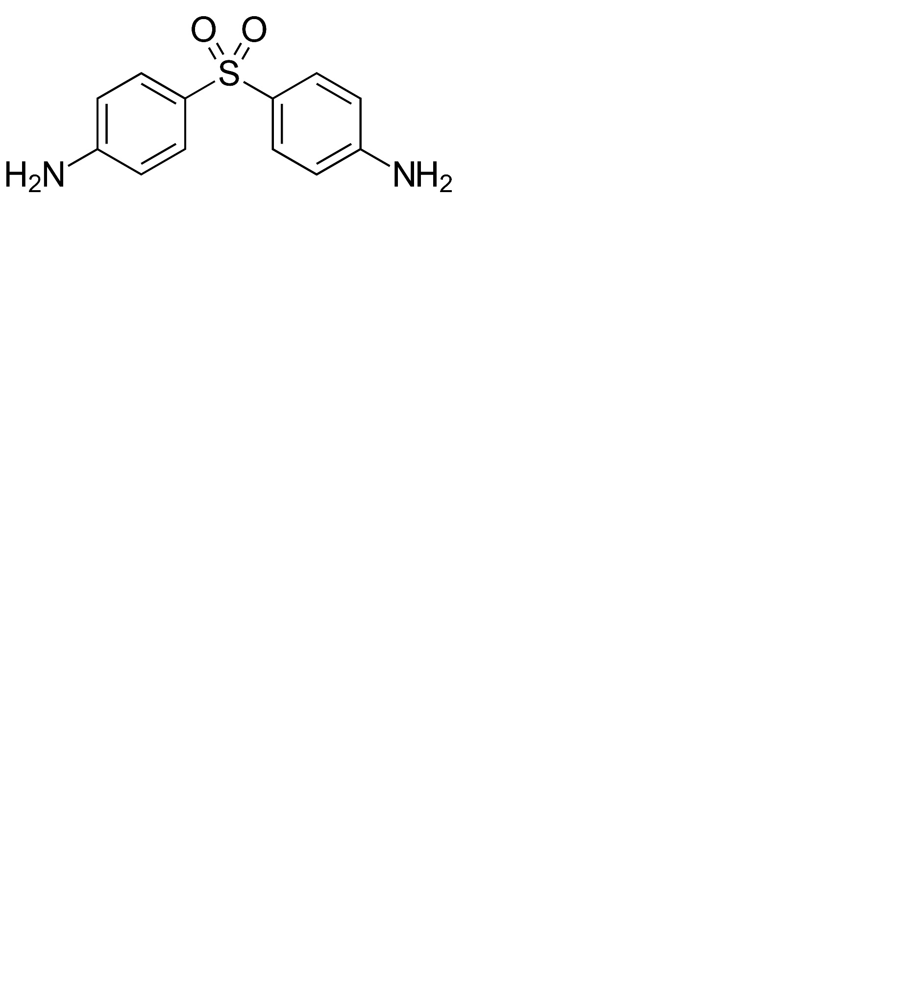
   Хімічна структура  

Мазі
Сумісність   Мазі   Сумісність : Dapsone              
7 / 5 000 Résultats de traduction Немає даних

  Mentions Légales