Ultimo aggiornamento :
27/01/2026
Antibiotico   Dapsone  
Unguenti
Soluzione orale
Stabilità dei preparati farmaceutici Stabilità in miscela Fattori che influenzano la stabilità Compatibilità Bibliografia pdf
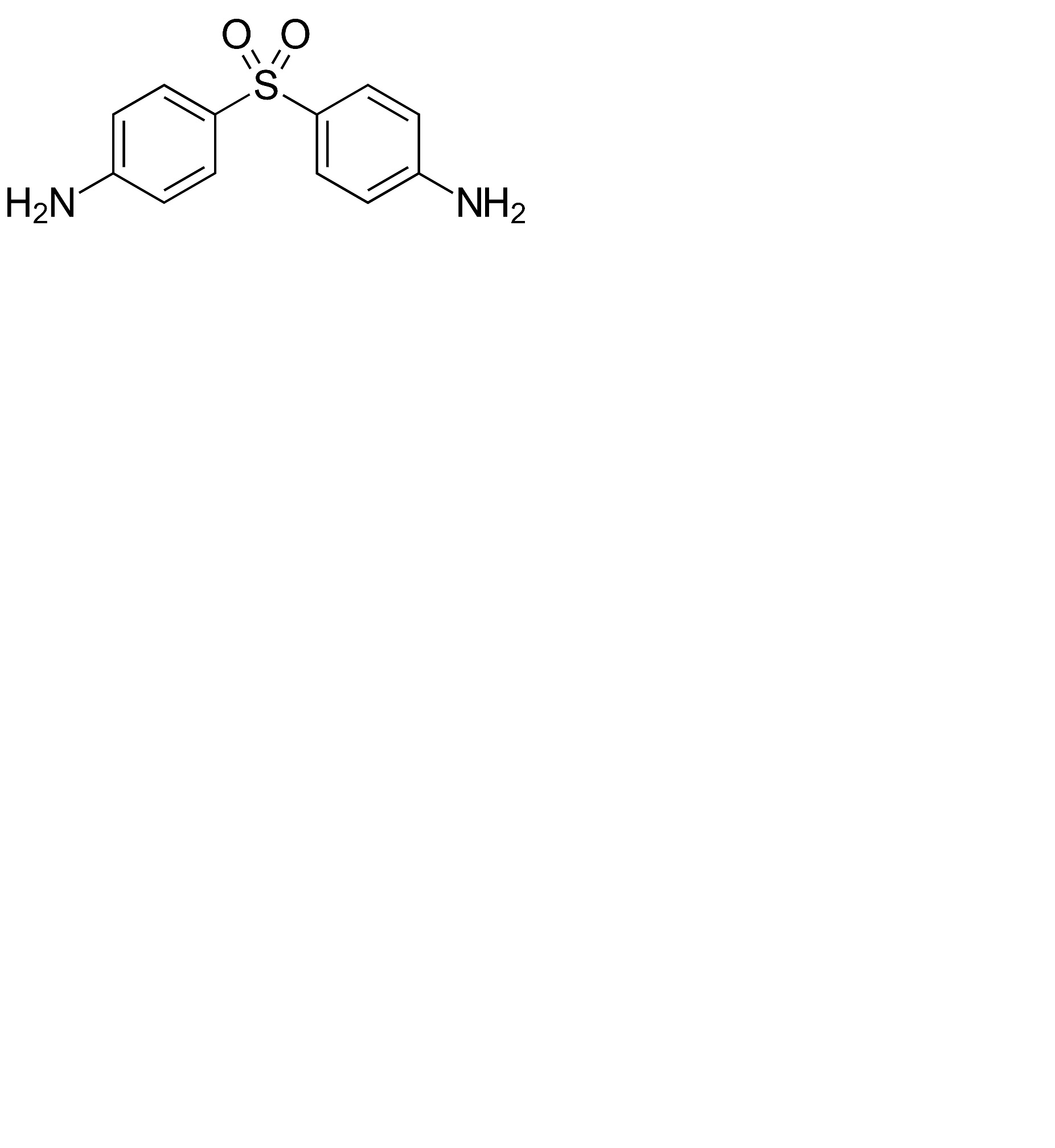
   Struttura chimica  

Unguenti
Compatibilità   Unguenti   Compatibilità : Dapsone              
Assenza di dati

  Mentions Légales