最新更新 :
27/01/2026
抗生素   Dapsone  
药膏
口服剂
制剂的稳定性 混合物稳定性 影响稳定性的因素 兼容性 引用文献 PDF
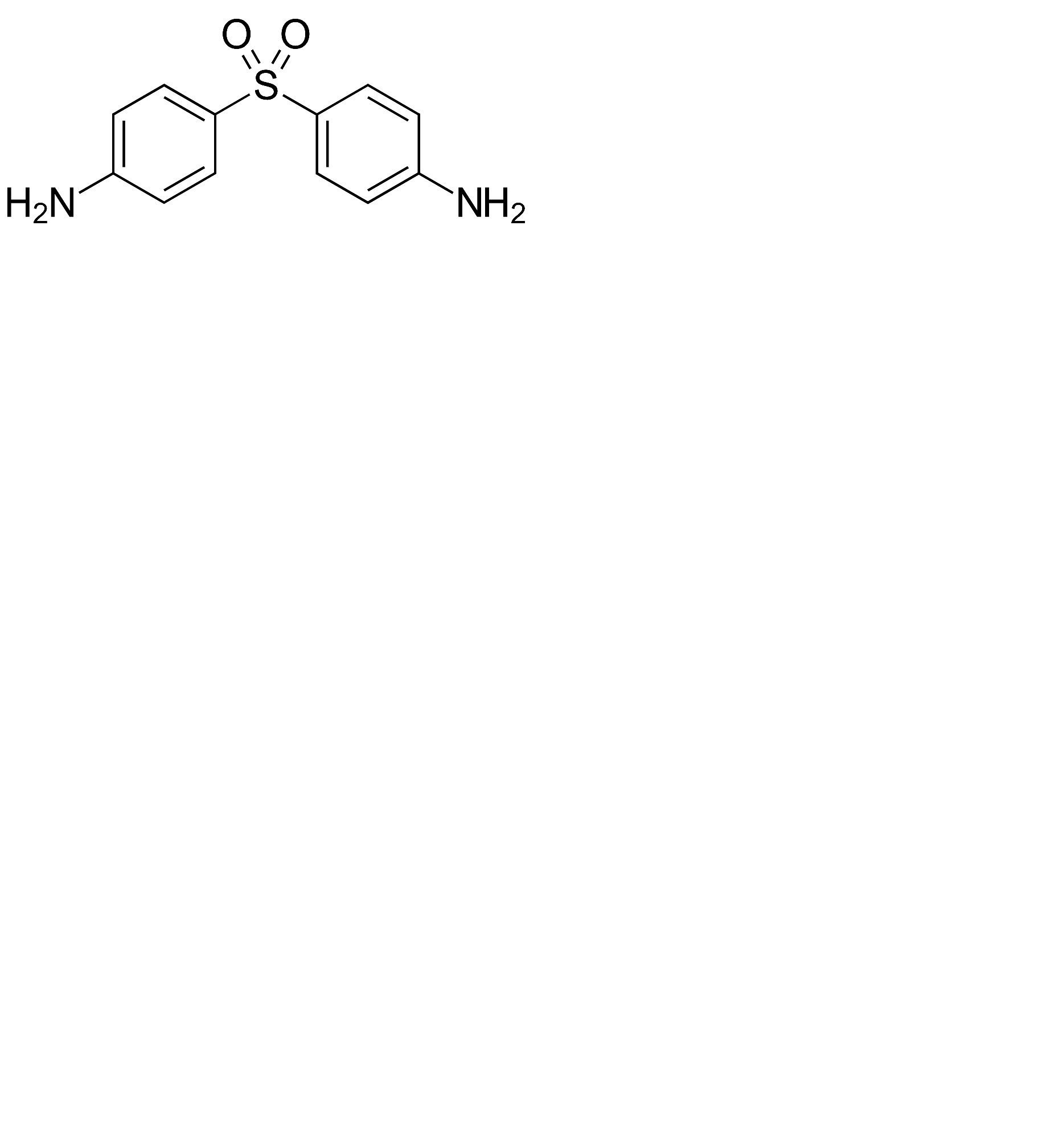
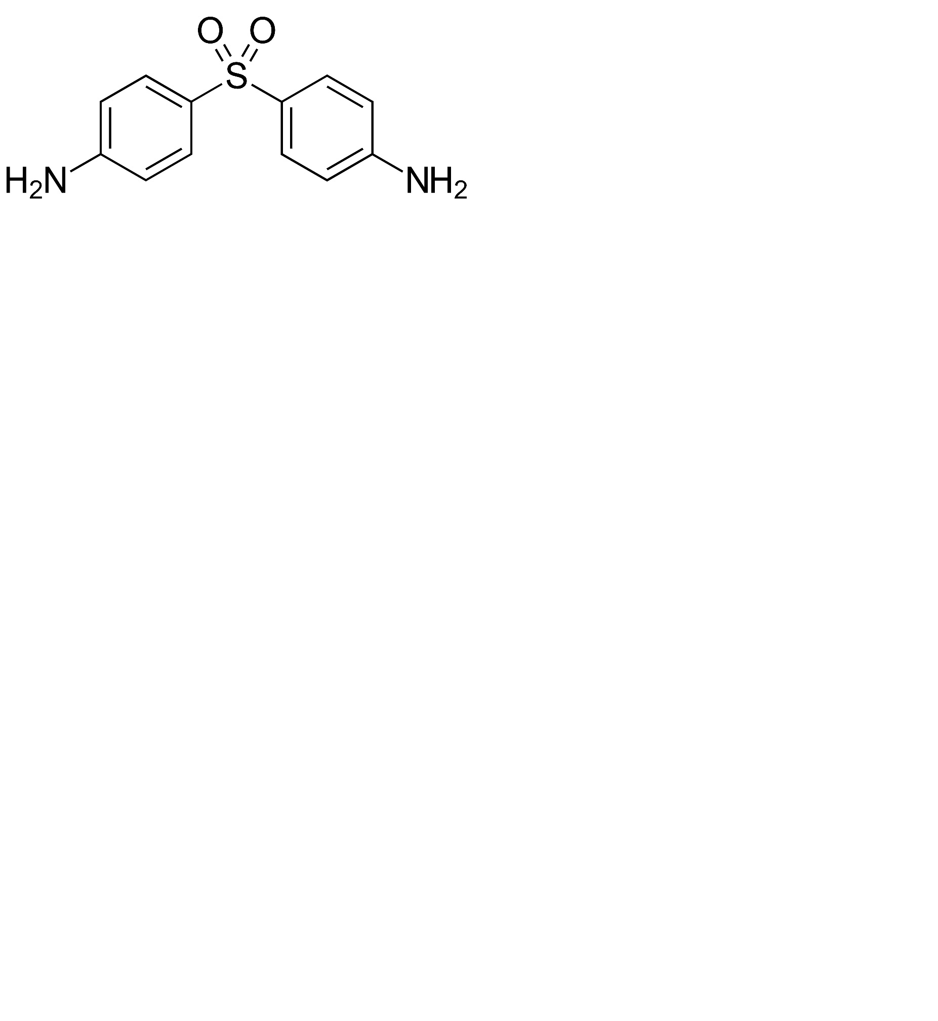
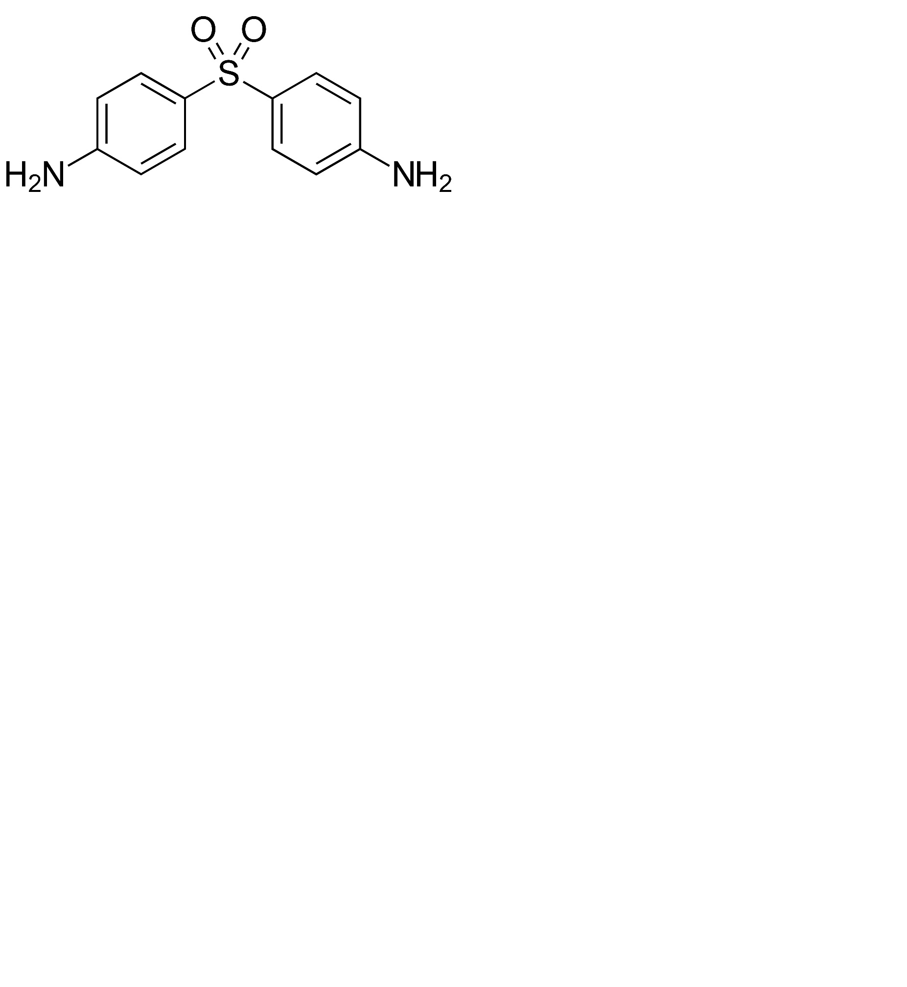
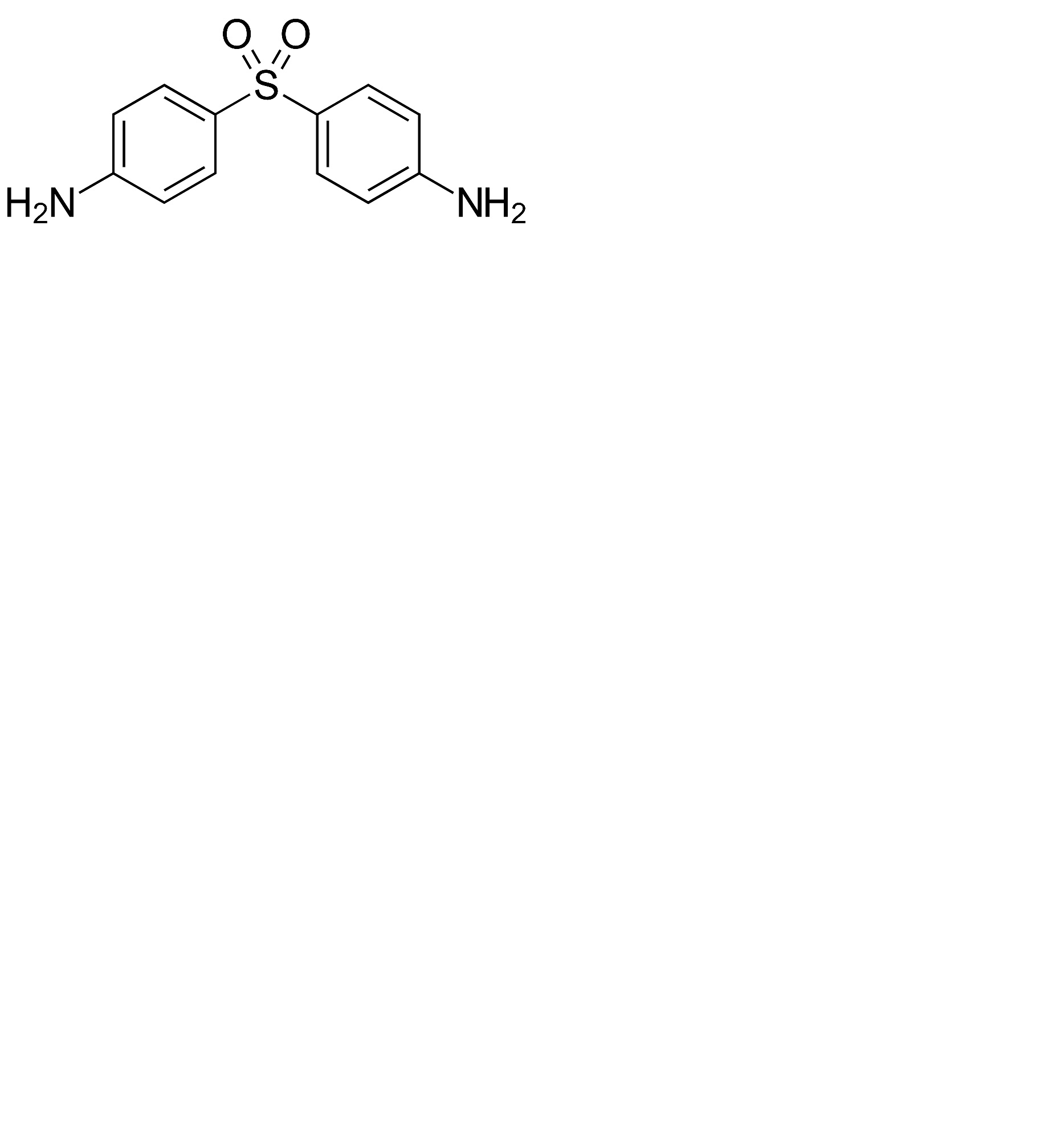
   化学式  

药膏
兼容性   药膏   兼容性 : Dapsone              
无数据

  Mentions Légales