Son güncelleme :
27/01/2026
Antibiyotik   Dapsone  
Merhem
Oral solüsyon / oral çözelti
Farmasötik preparatlar Kararlılığı Karışımlardaki stabilitesi Stabiliteyi etkileyen faktörler Uyumluluk Kaynaklar pdf
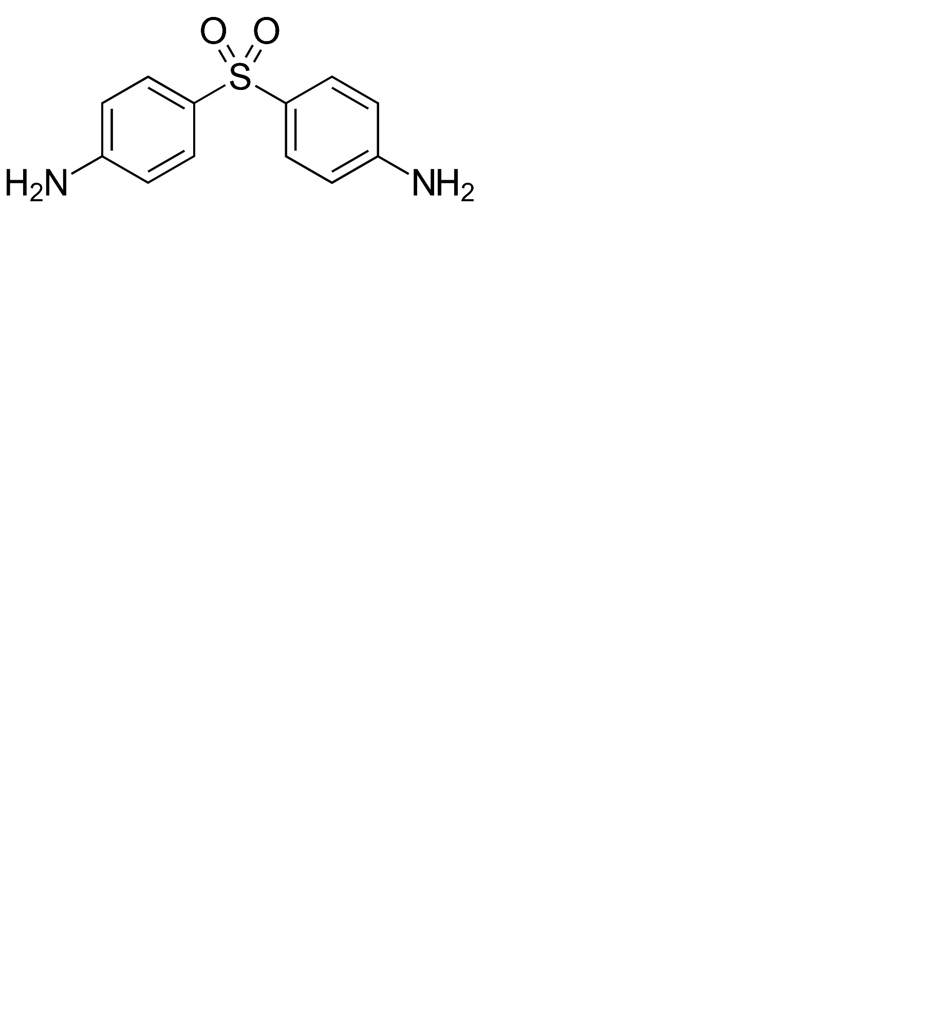
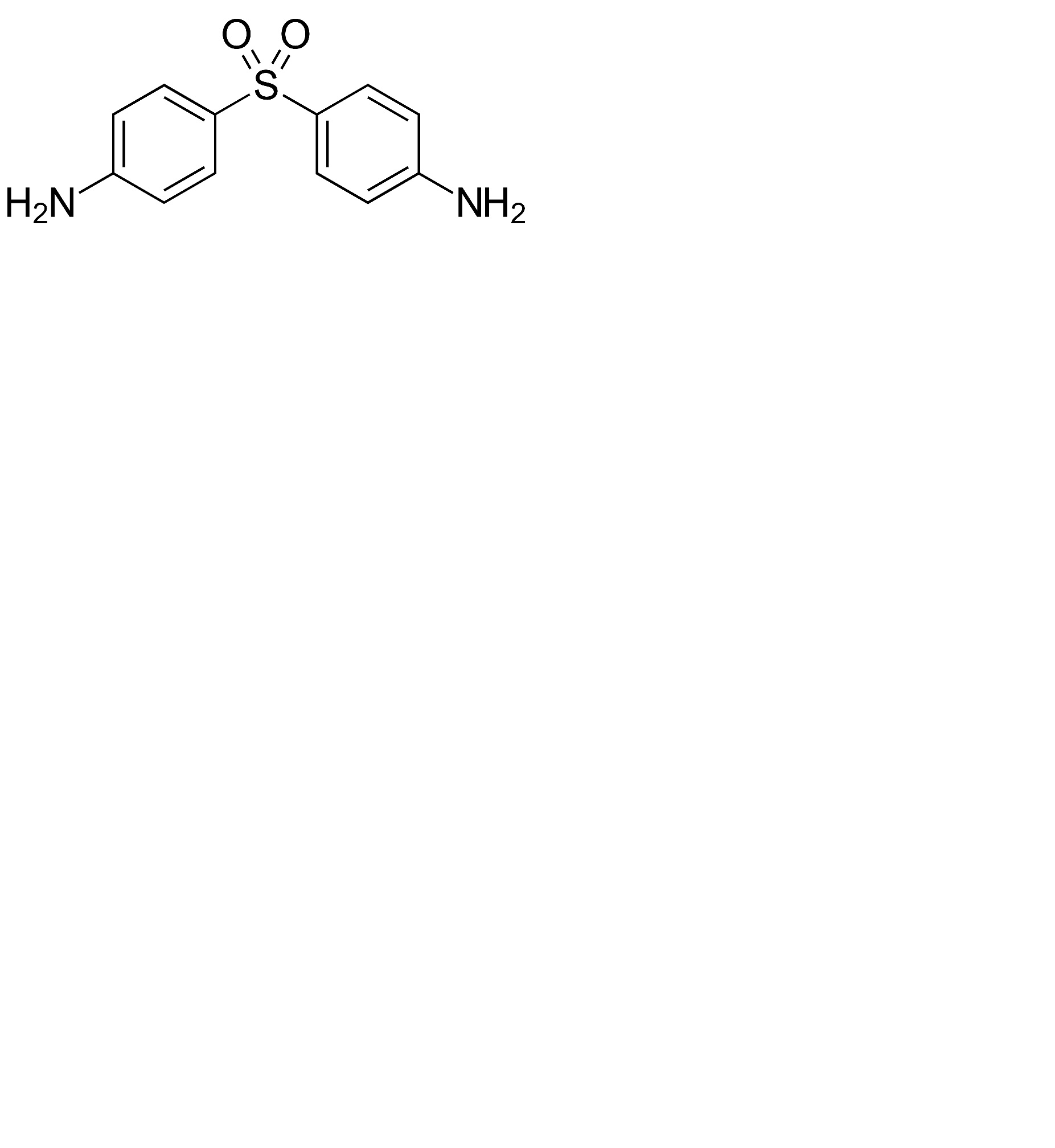
   Kimyasal yapı   

Merhem
Uyumluluk   Merhem   Uyumluluk : Dapsone              
veri yok

  Mentions Légales