Poslední aktualizace :
27/01/2026
Antibiotikas   Dapsone  
Tepalai
Geriamas tirpalas
Stabilumas farmacinių preparatų Mišinių stabilumas Stabilumą lemiantys veiksniai Suderinamumas Bibliografija pdf
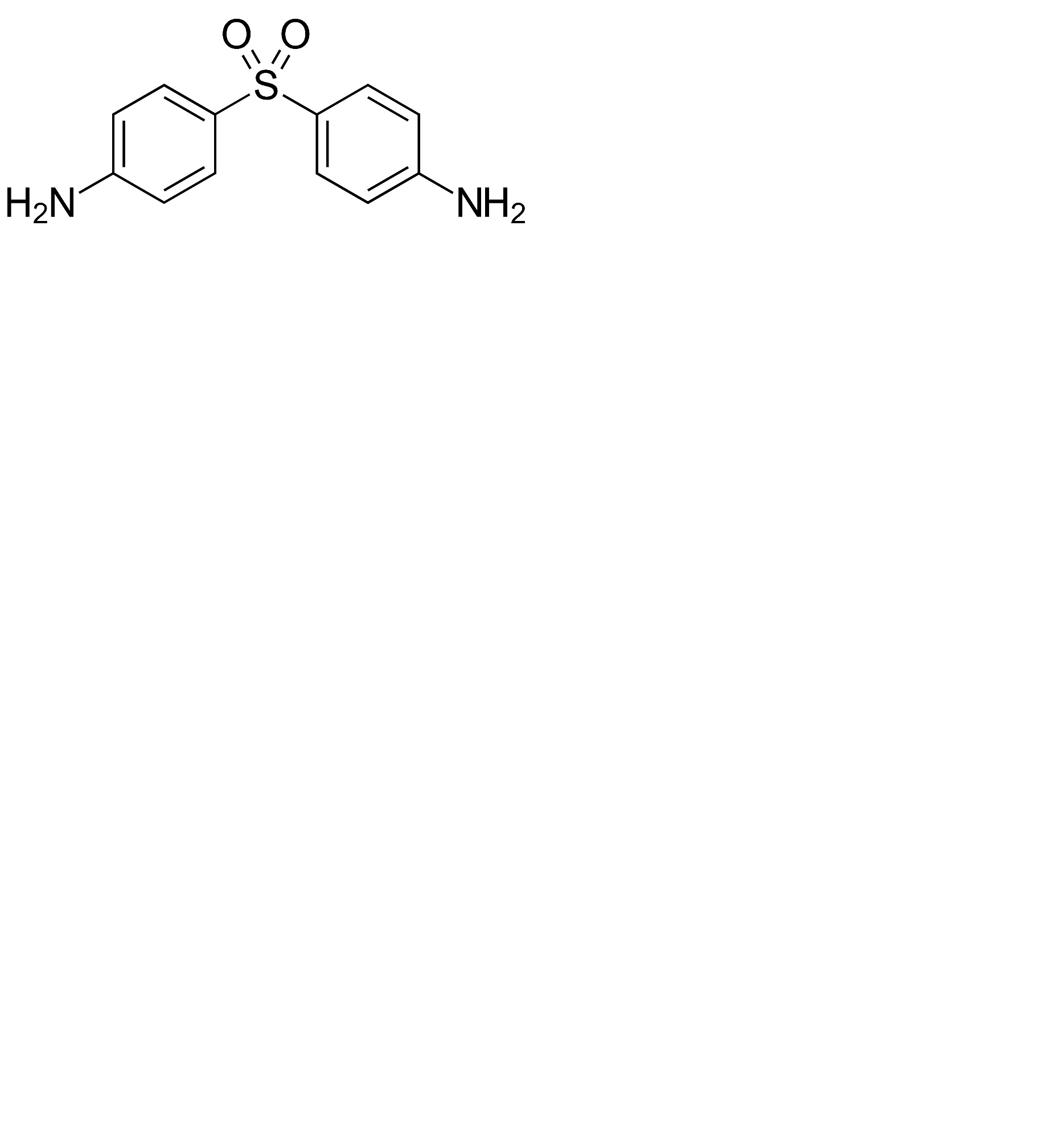
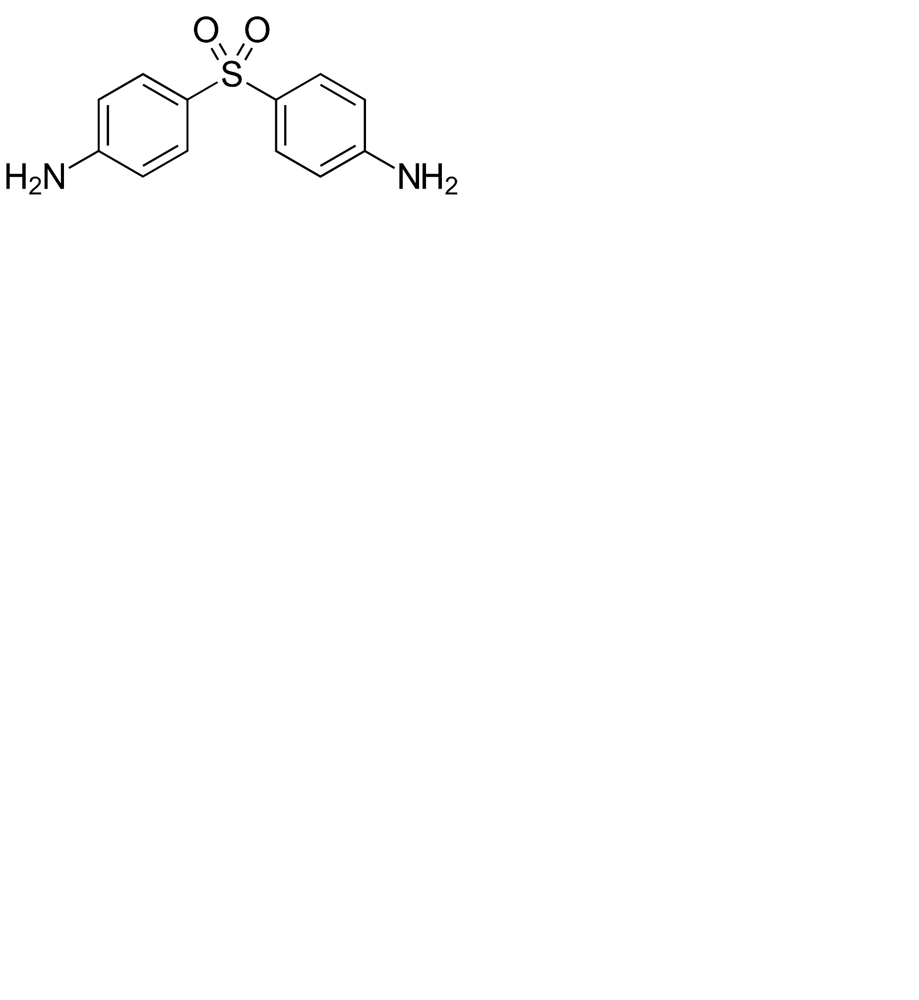
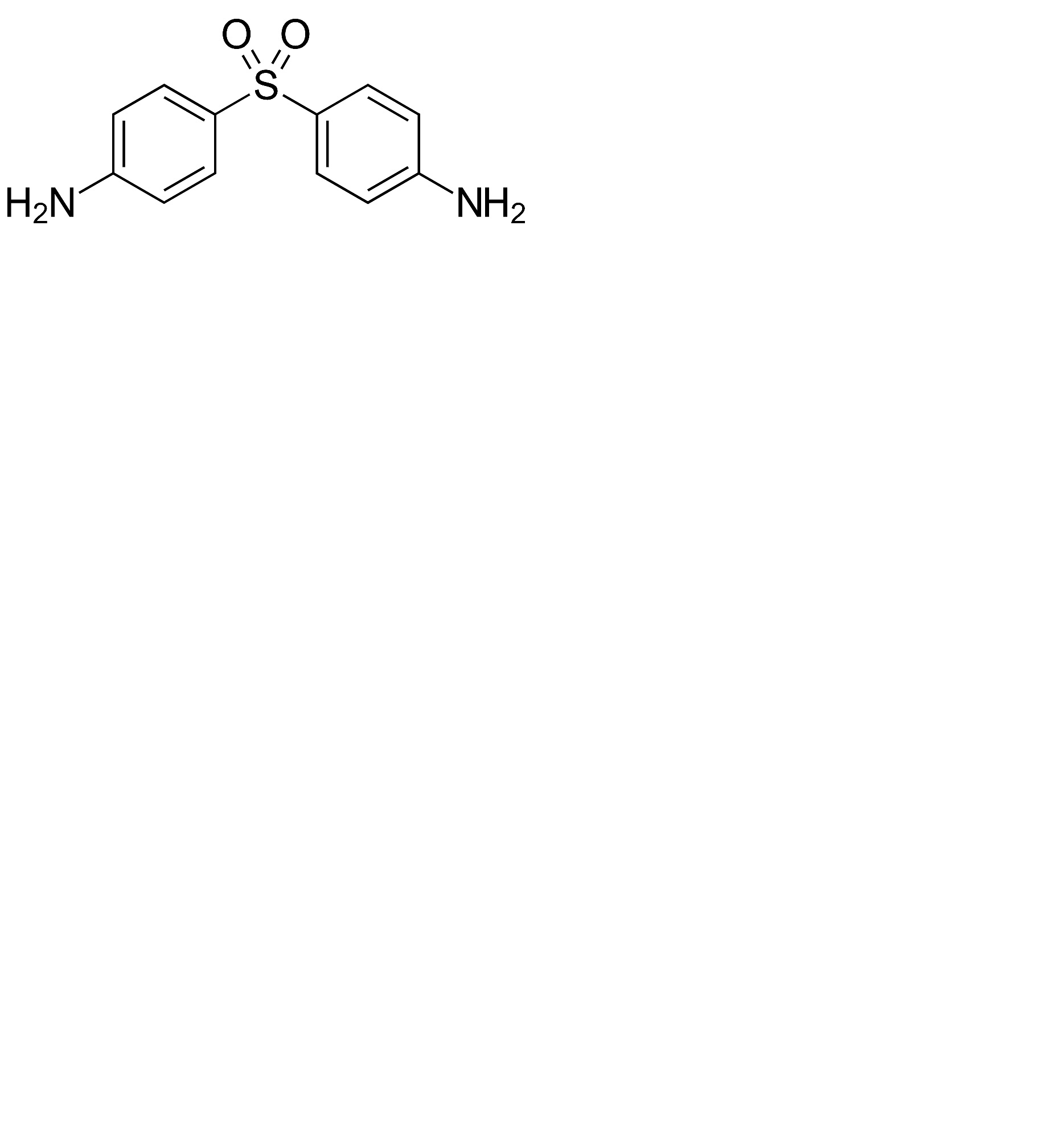
   Cheminė sandara  

Tepalai
Suderinamumas   Tepalai   Suderinamumas : Dapsone              
Nėra duomenų

  Mentions Légales