Zadnji put ažurirano :
27/01/2026
antibiotik   Dapsone  
masti
oralna otopina
Stabilnost farmaceutskih pripravaka Stabilnost mješavine Stabilizacijski faktor Kompatibilnosti Bibliografija pdf
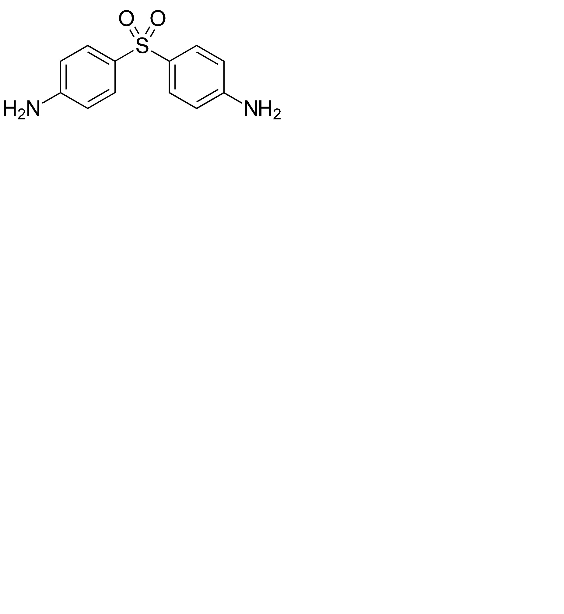
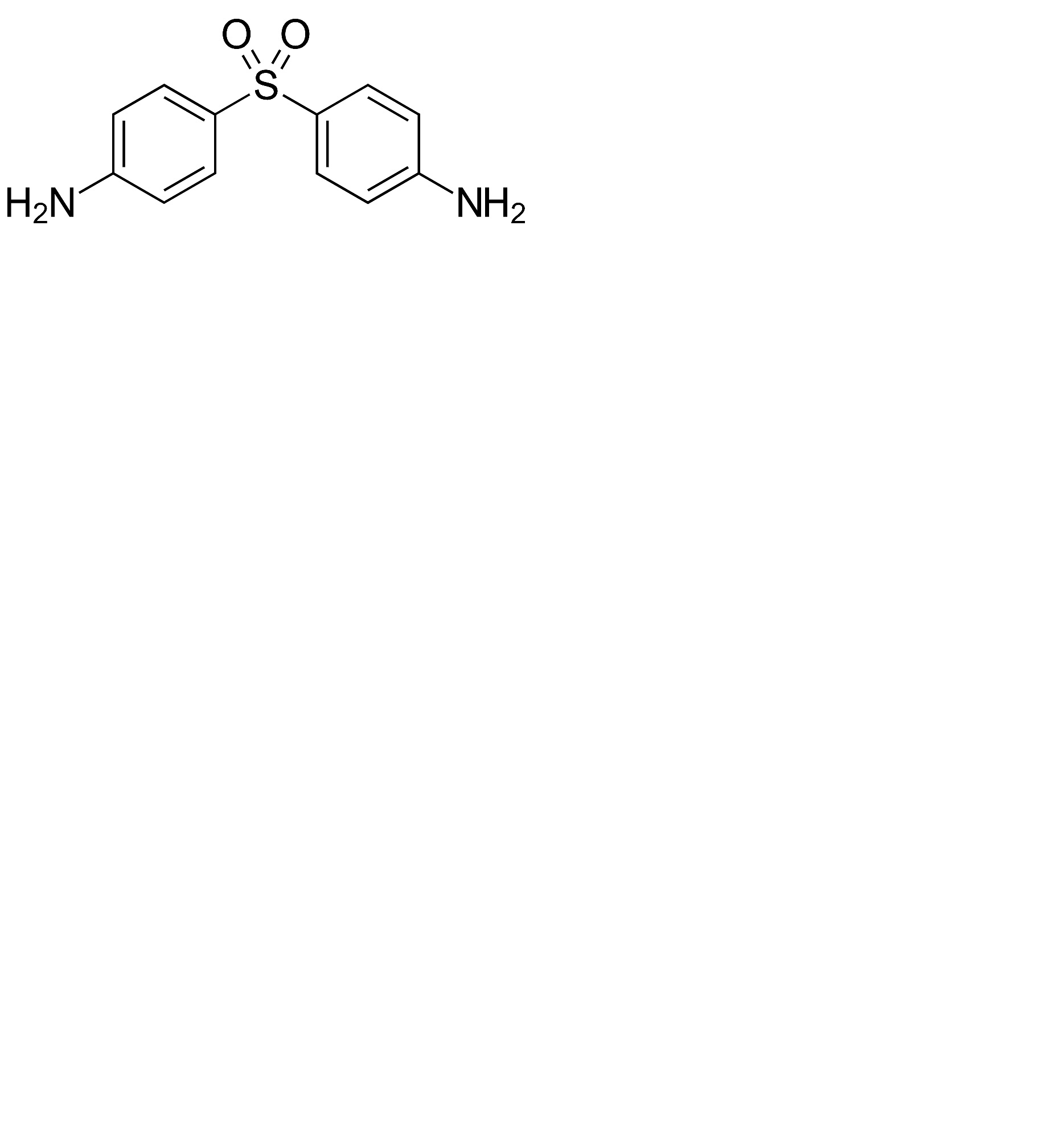
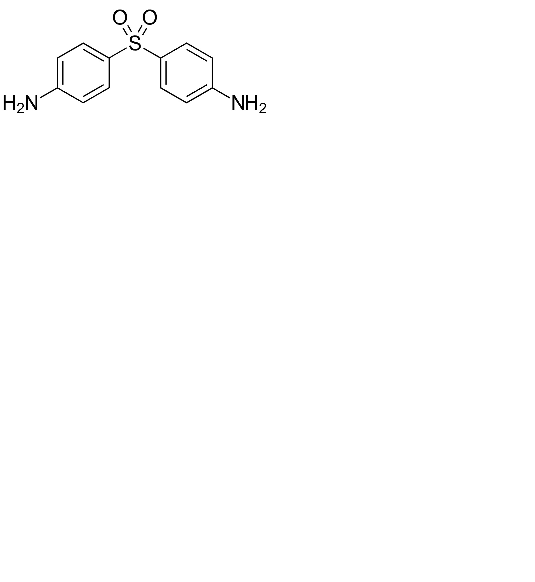
   Kemijska struktura  

masti
Kompatibilnosti   masti   Kompatibilnosti : Dapsone              
bez podataka

  Mentions Légales