Siste oppdatering :
27/01/2026
Antibiotika   Dapsone  
Salver
Mikstur
Stabilitet av farmasøytiske preparater Stabilitet i blandinger Faktorer som påvirker stabiliteten Kompatibilitet Referanser pdf
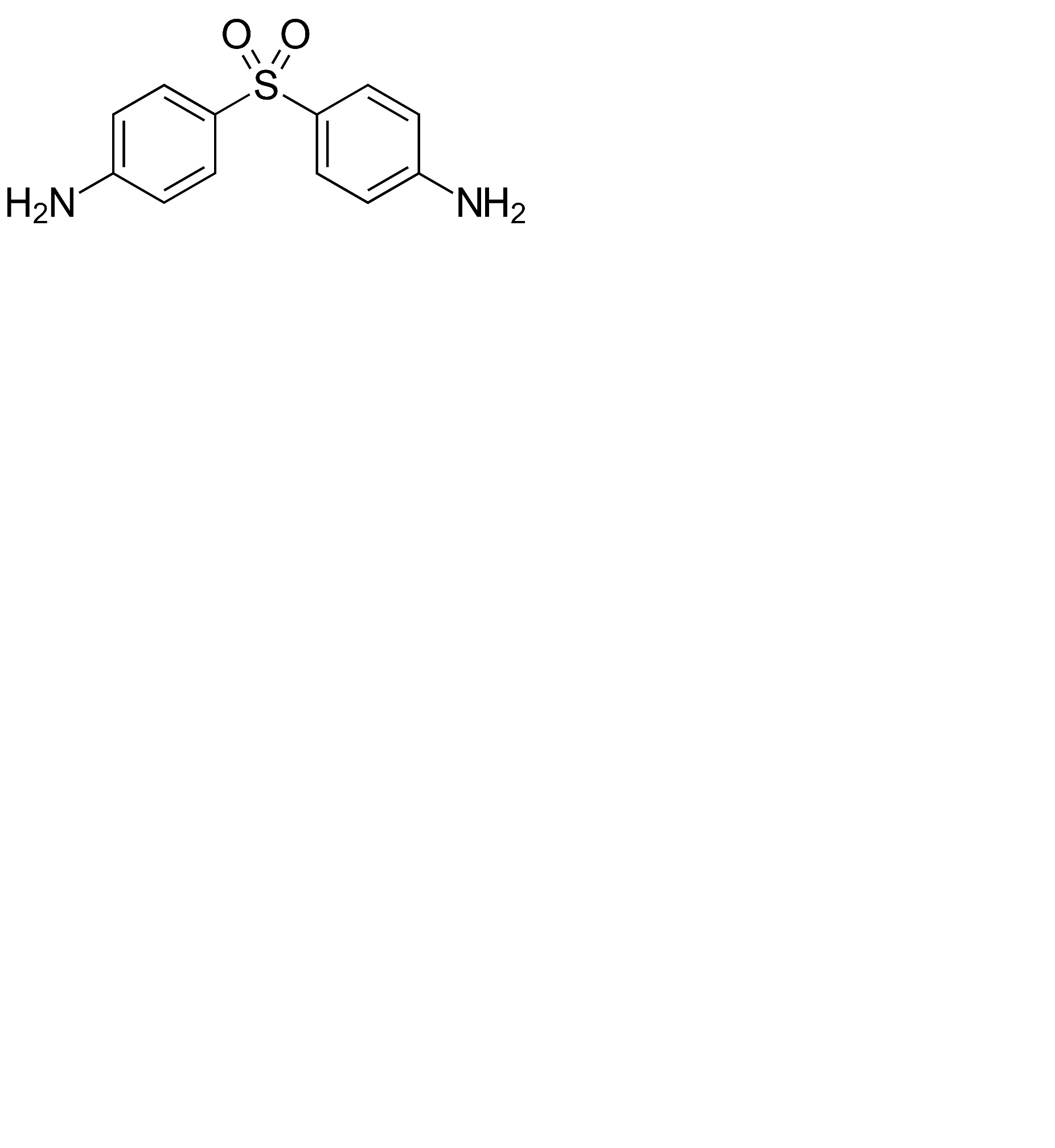
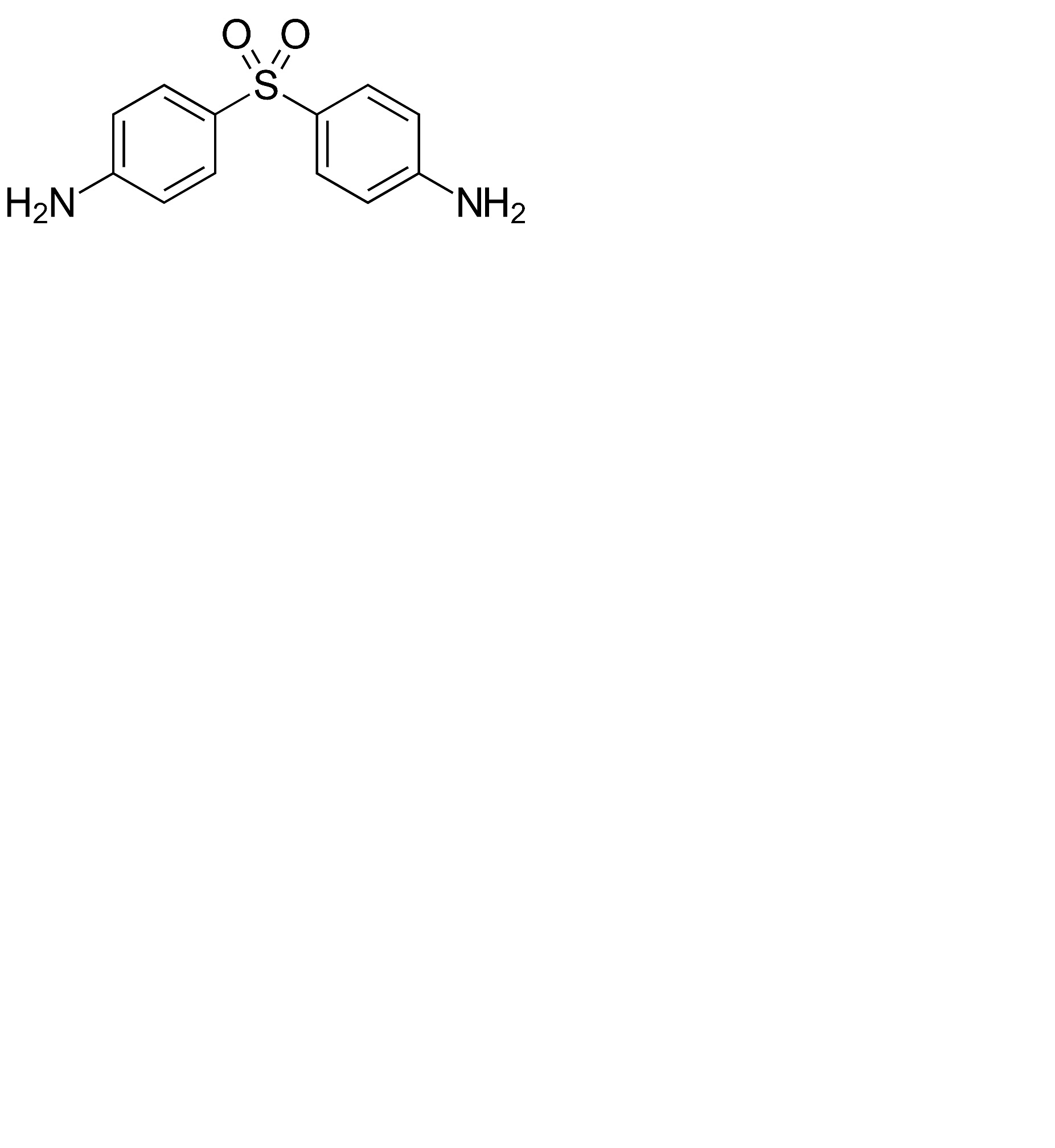
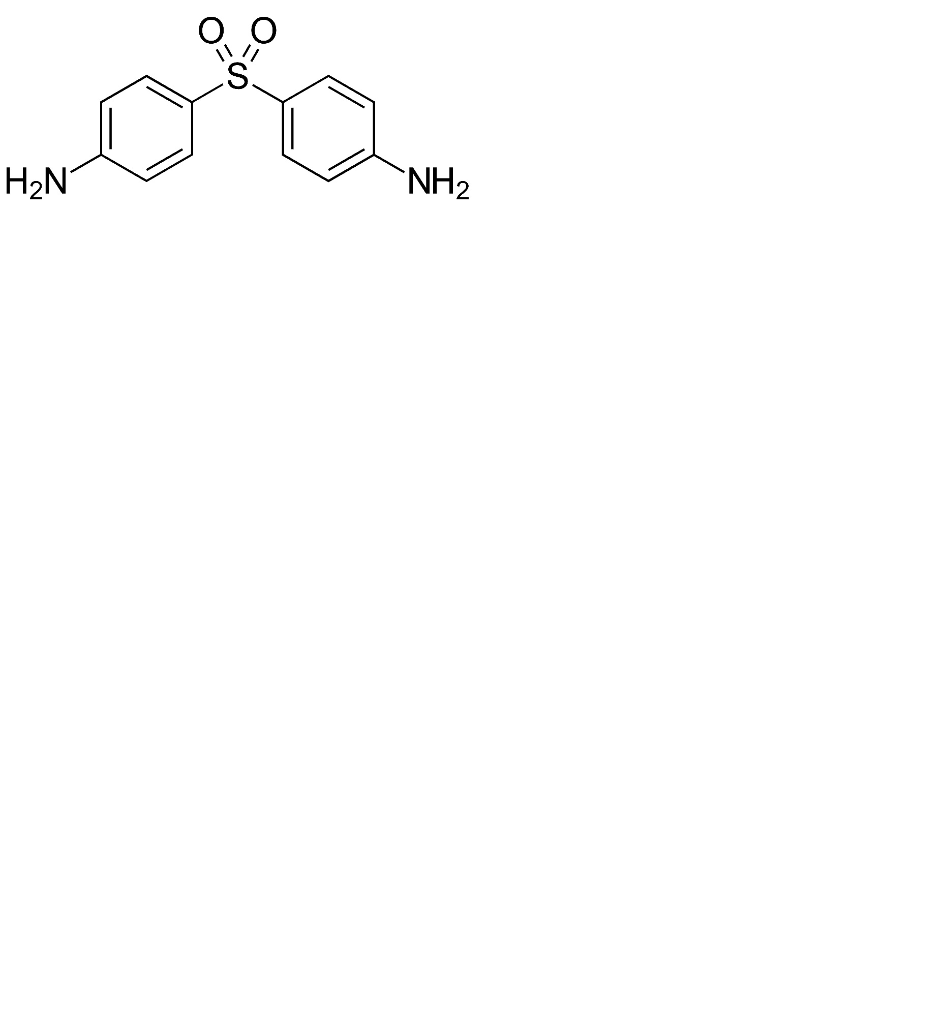
   Kjemisk struktur  

Salver
Kompatibilitet   Salver   Kompatibilitet : Dapsone              
Ingen opplysninger

  Mentions Légales