Последно актуализиране :
27/01/2026
Антибиотик   Dapsone  
Унгвент/Унгвенти
Орален разтвор
Стабилност на лекарствени препарати Стабилност на смеси Фактори, повлияващи стабилността Съвместимост Библиография Pdf
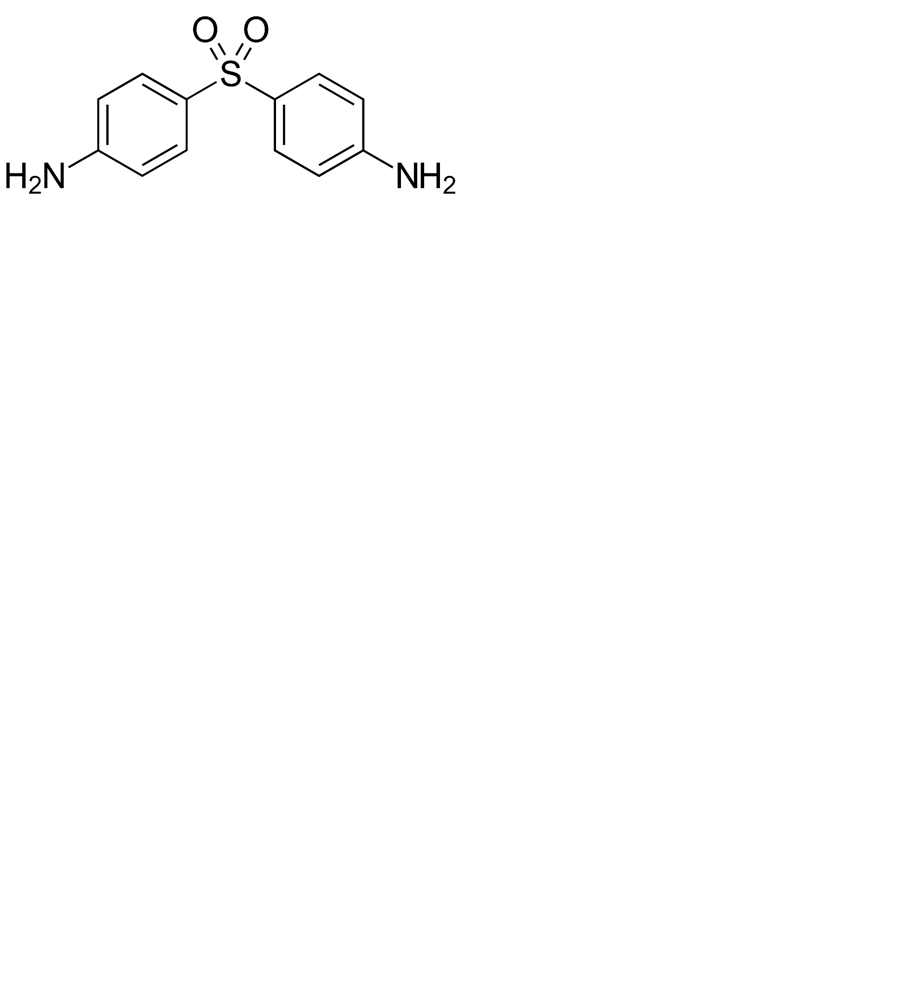
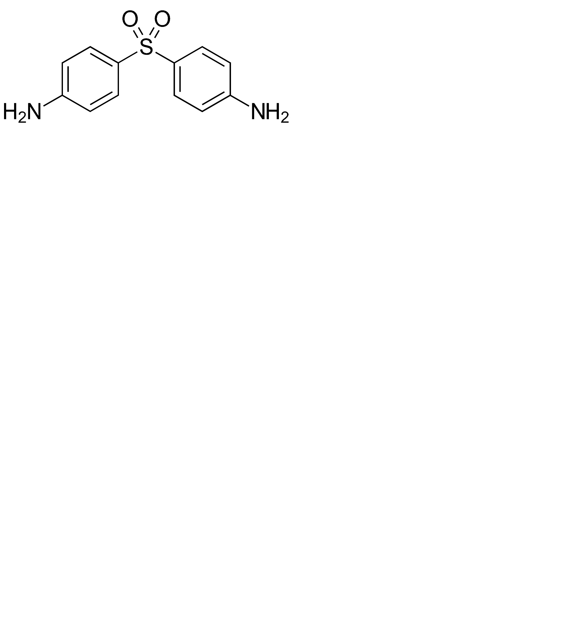
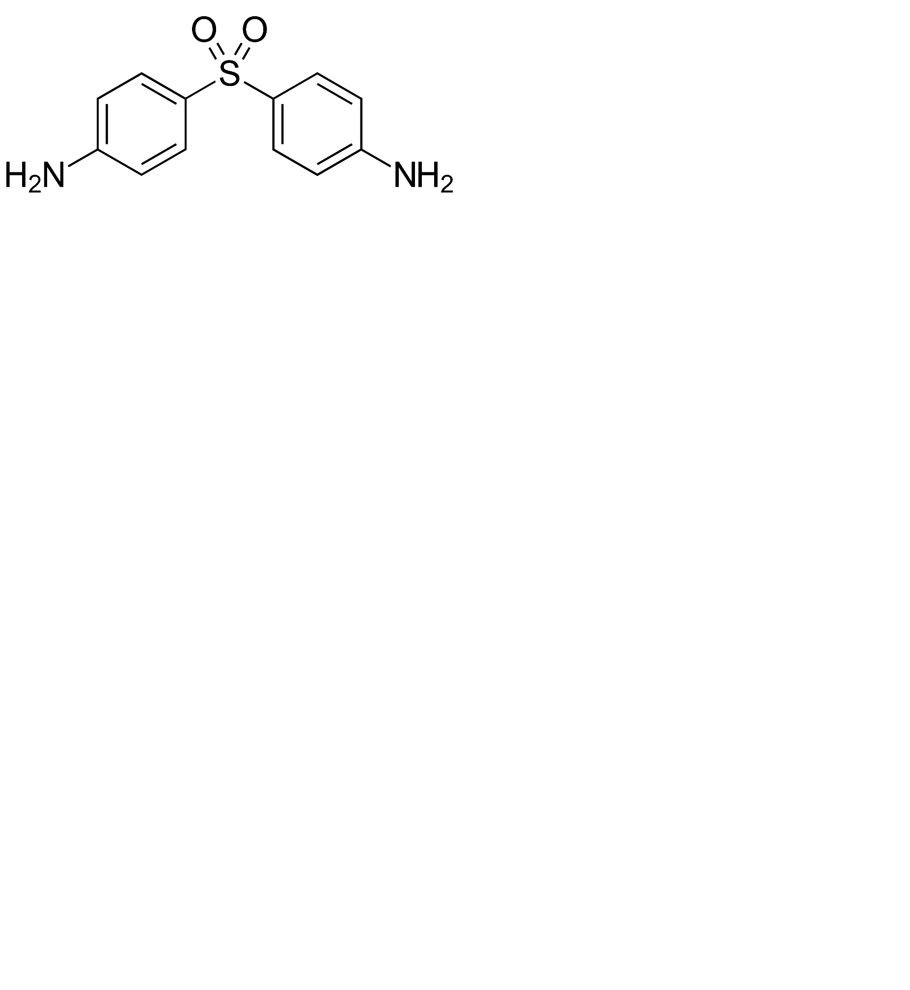
   Химична структура  

Унгвент/Унгвенти
Съвместимост   Унгвент/Унгвенти   Съвместимост : Dapsone              
Няма данни

  Mentions Légales