آخر تحديث :
27/01/2026
مضاد حيوي   Dapsone  
المراهم
عن طريق الفم
استقرار المستحضرات الصيدلانية استقرار مخاليط العوامل التي تؤثر على الاستقرار التوافق مراجع pdf
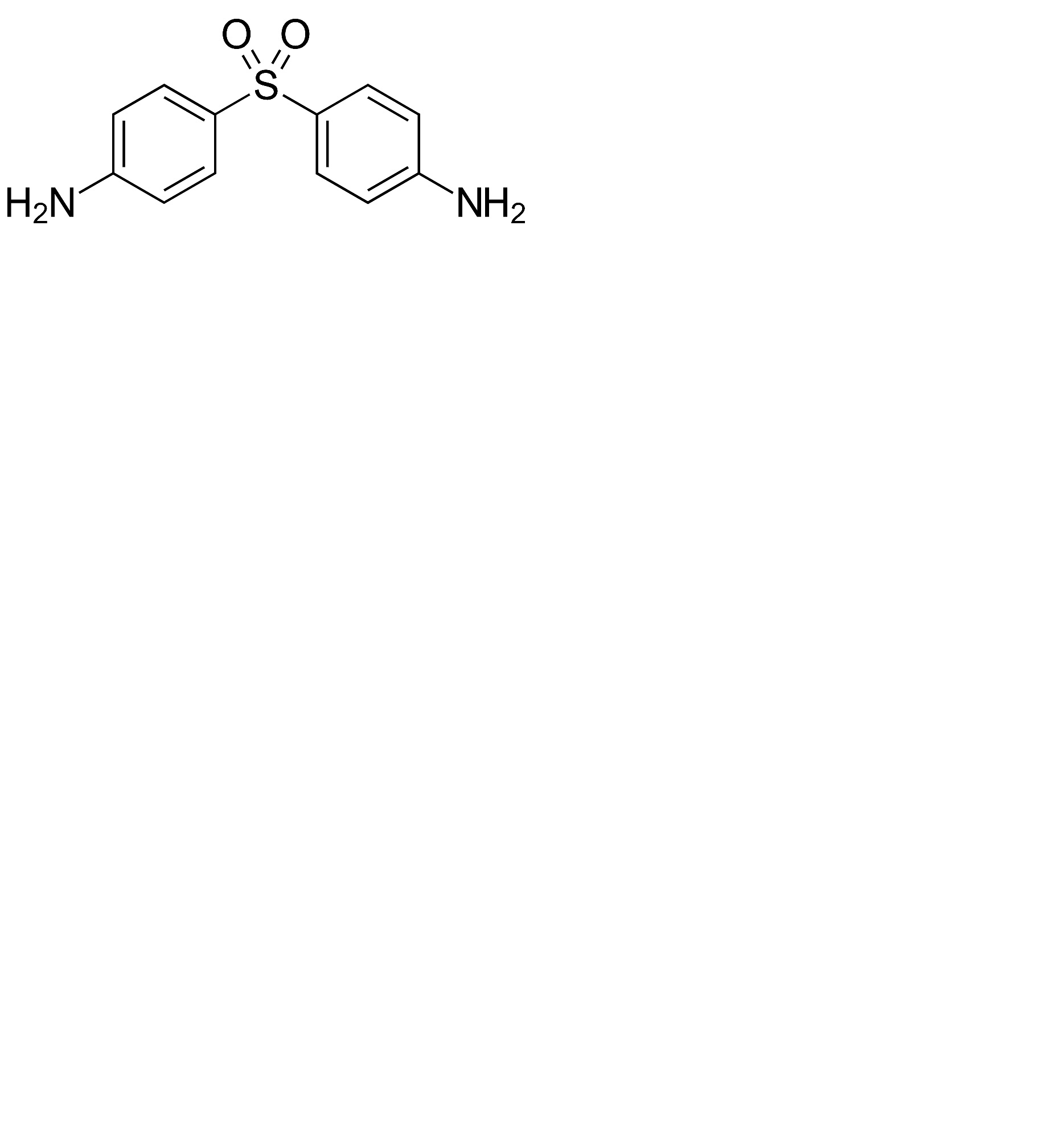
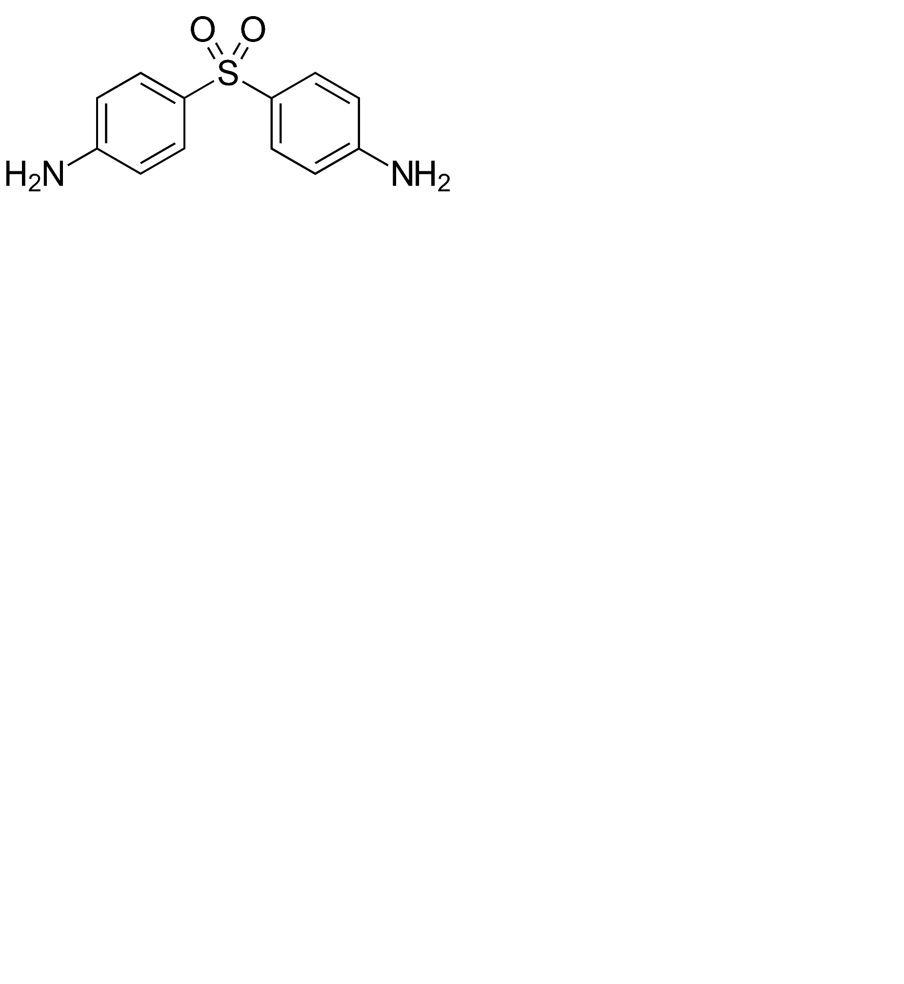
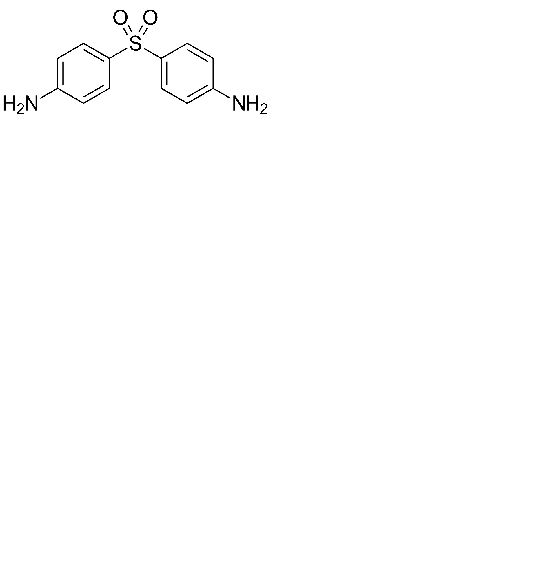
   التركيب الكيميائي  

المراهم
التوافق   المراهم   التوافق : Dapsone              
لا توجد بيانات

  Mentions Légales