Última actualización :
18/03/2026
Infostab
Lista de la molécula
Listas recapitulativas
Búsqueda de compatibilidades
Tabla de compatibilidad en Y
Bibliografía
Los equipos de investigación
valistab
póster
Vínculos
patrocinadores
Autores
Manual de instruciones
Boletín de noticias
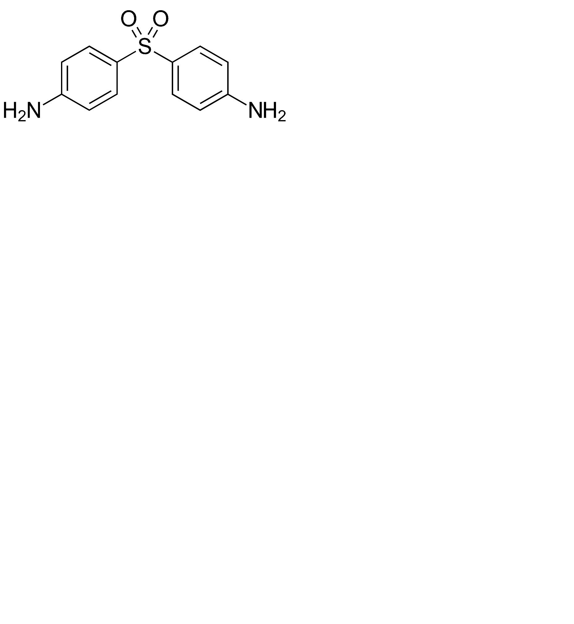
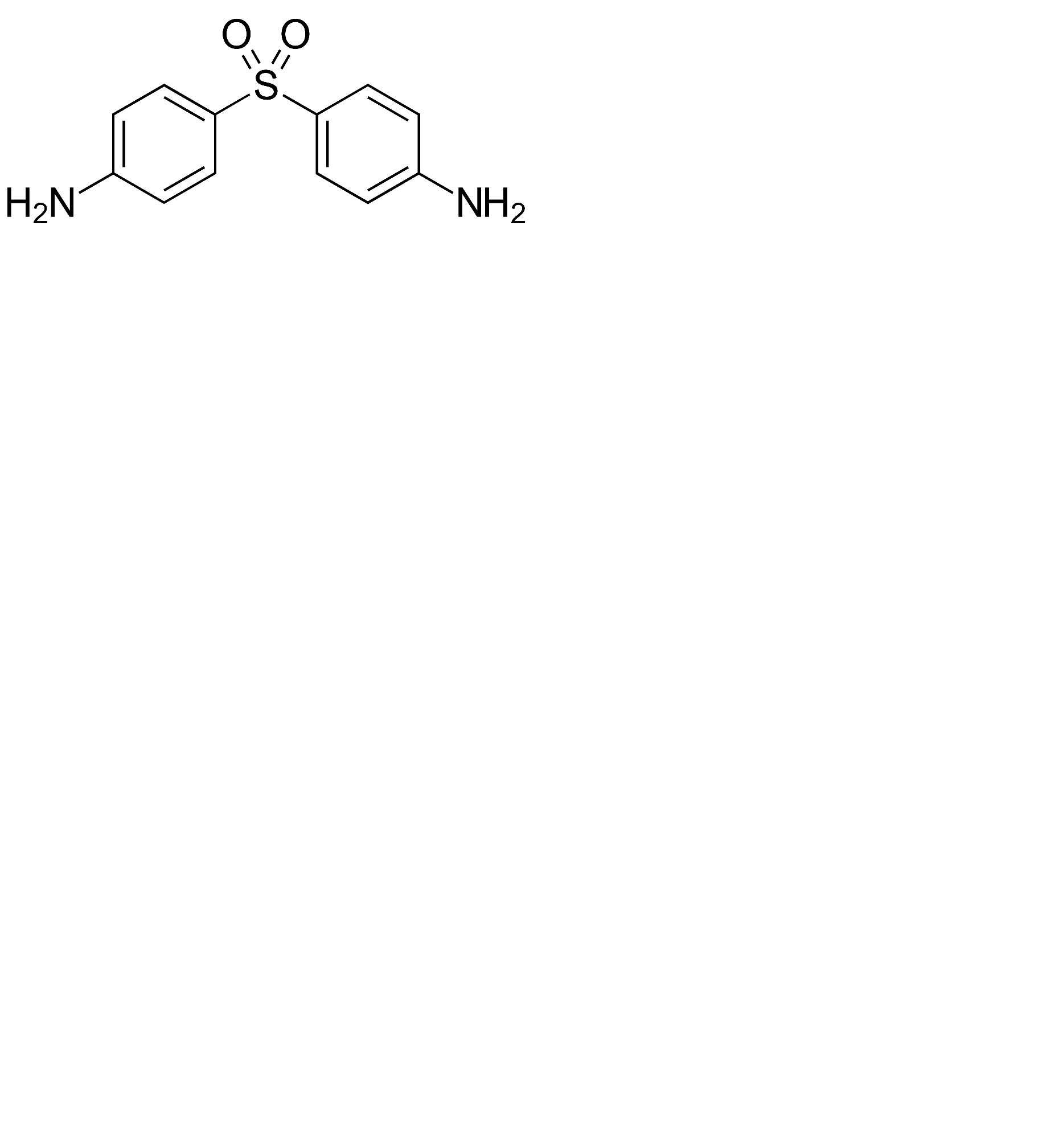
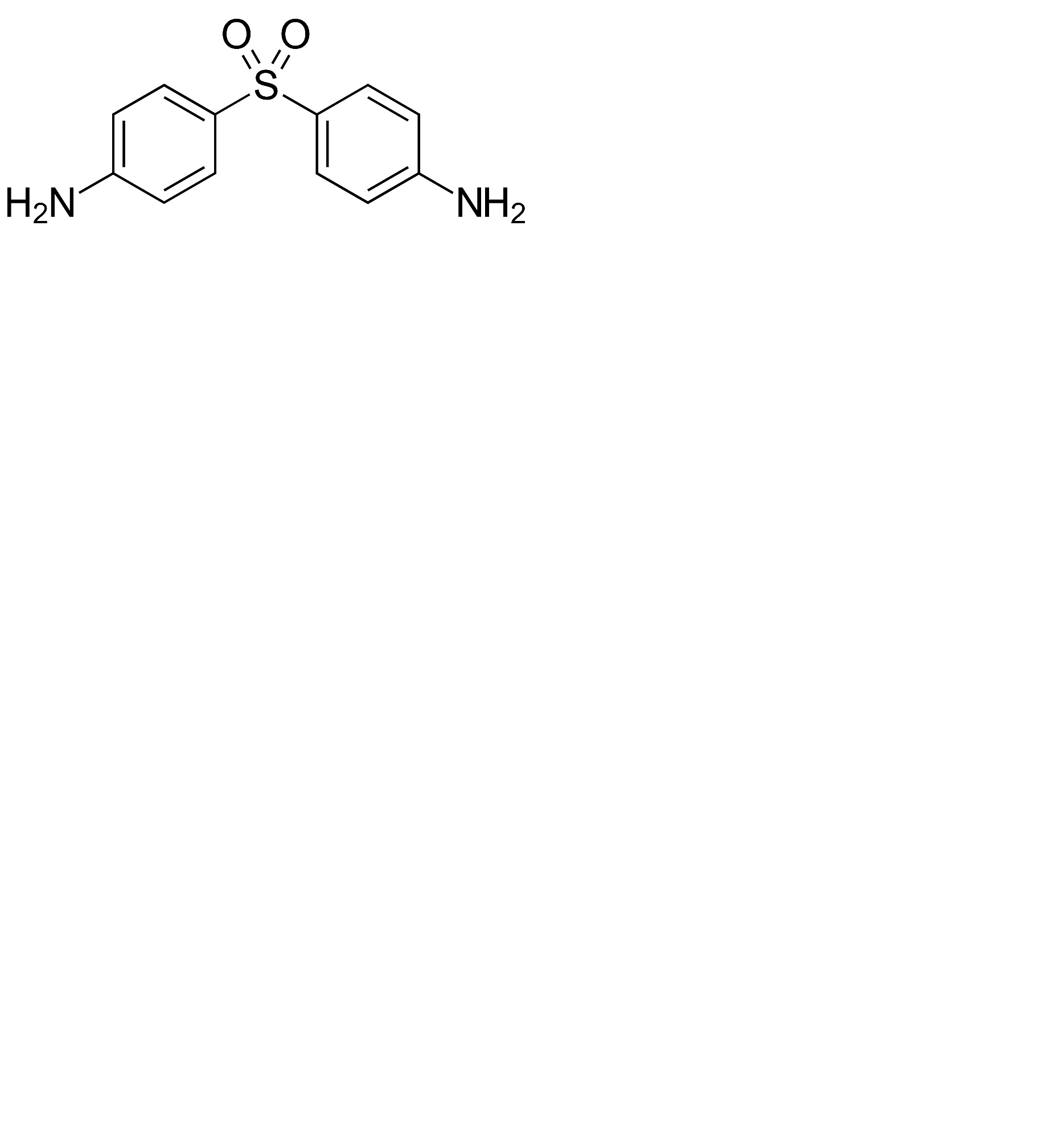
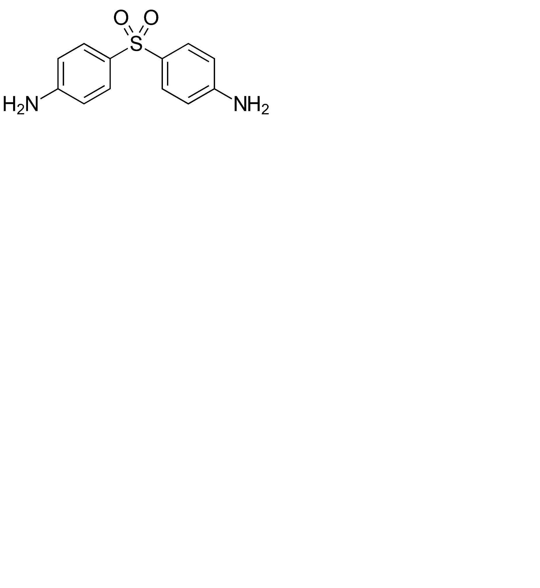
Dapsone
Estructura química
La estabilidad de las preparaciones farmacéuticas : Dapsone
2000 mg
® = ?
Cleoderm®
>> 40 g
15-30°C
180
4879
4000 mg
® = ?
Cleoderm®
>> 40 g
15-30°C
180
4879
Mentions Légales