Последнее обновление :
27/01/2026
Антибиотик   Dapsone  
Мази
Раствор для перорального приёма
Стабильность фармацевтических препаратов Стабильность смесей Факторы, которые влияют на стабильность Совместимость Библиография pdf
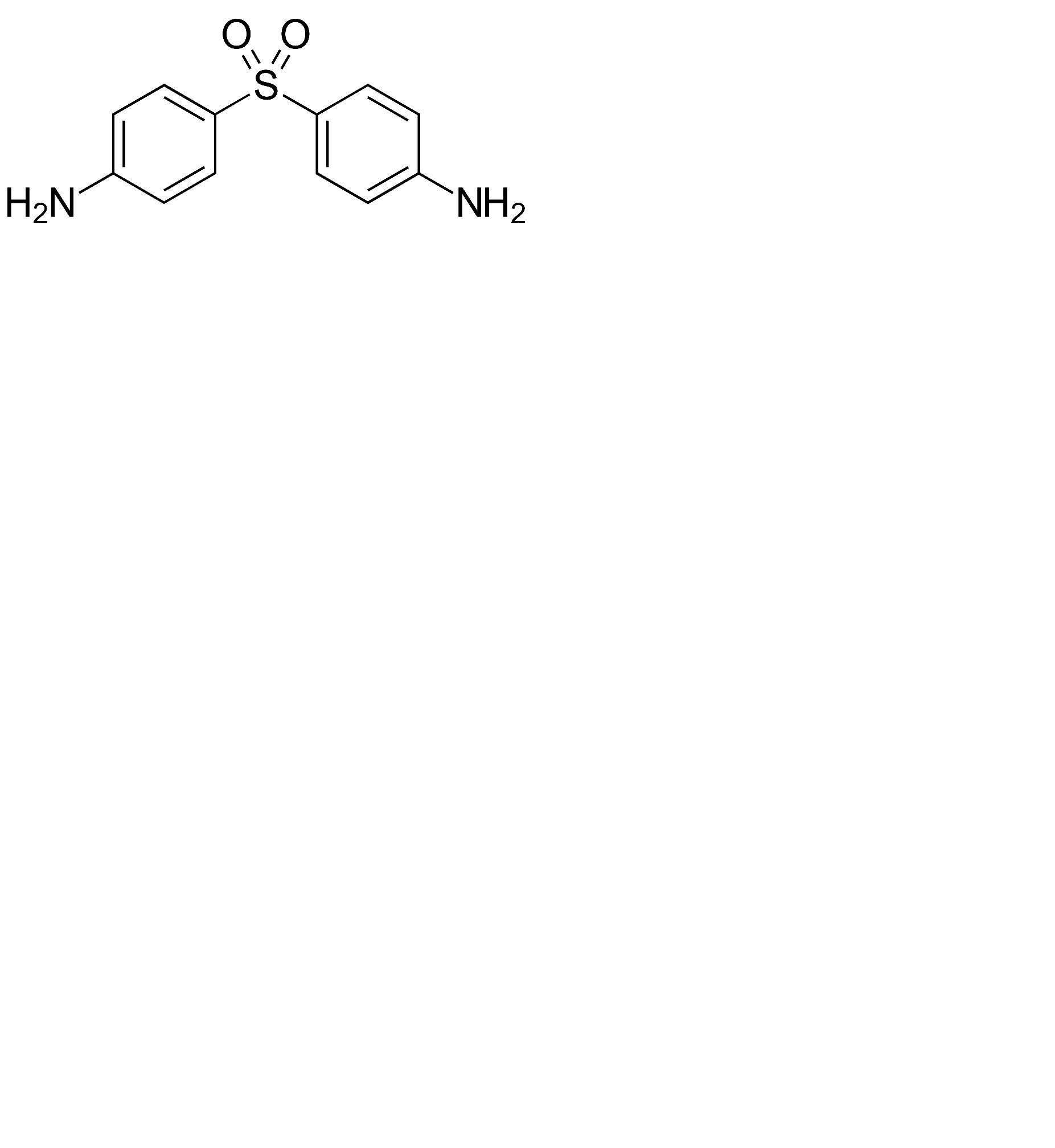
   Химическая структура  

Мази
Совместимость   Мази   Совместимость : Dapsone              
данных нет

  Mentions Légales