Letztes “update” :
27/01/2026
Antibiotikum   Dapsone  
Salben
Lösung zum Einnehmen
Stabilität von pharmazeutischen Präparaten Gemengestabilität Stabilitätbeeinflussende Faktoren Kompatibilitäten Literaturverzeichnis pdf
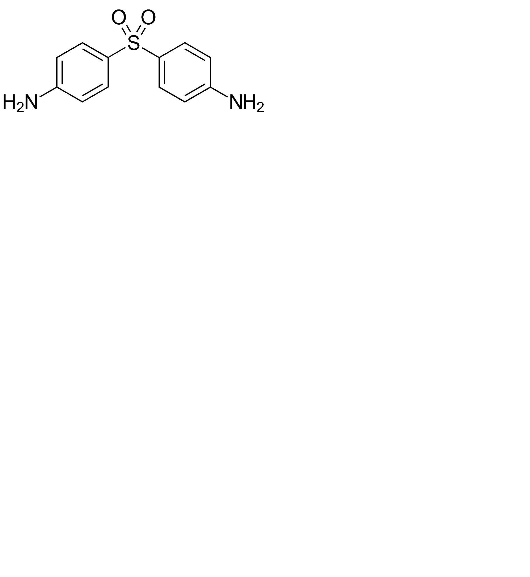
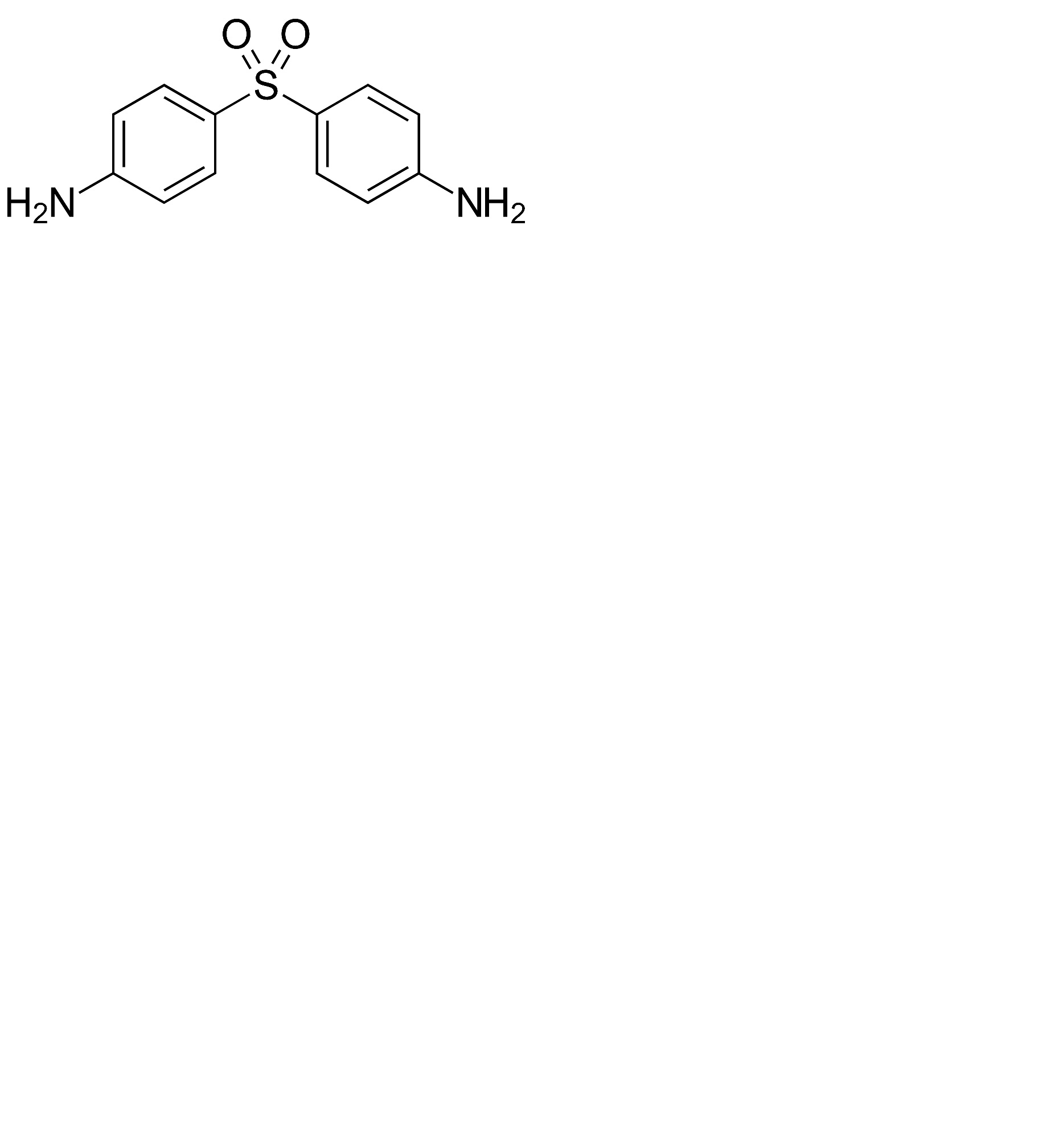
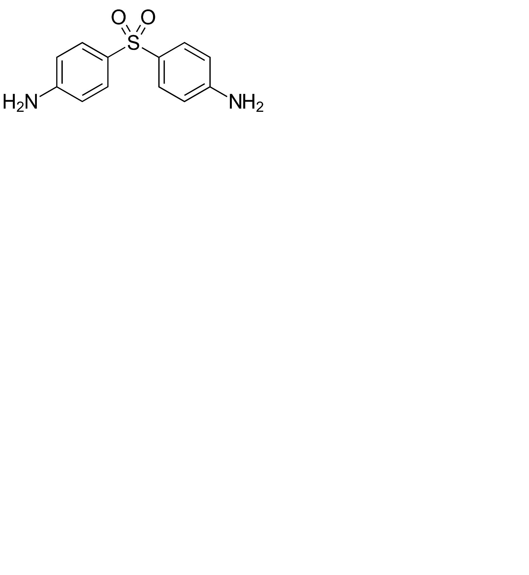
   Chemische Struktur  

Salben
Kompatibilitäten   Salben   Kompatibilitäten : Dapsone              
Keine Daten

  Mentions Légales