zadnja posodobitev :
27/01/2026
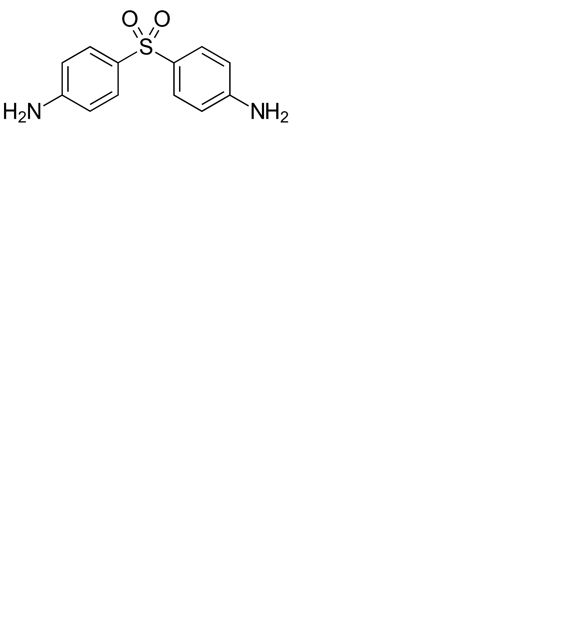
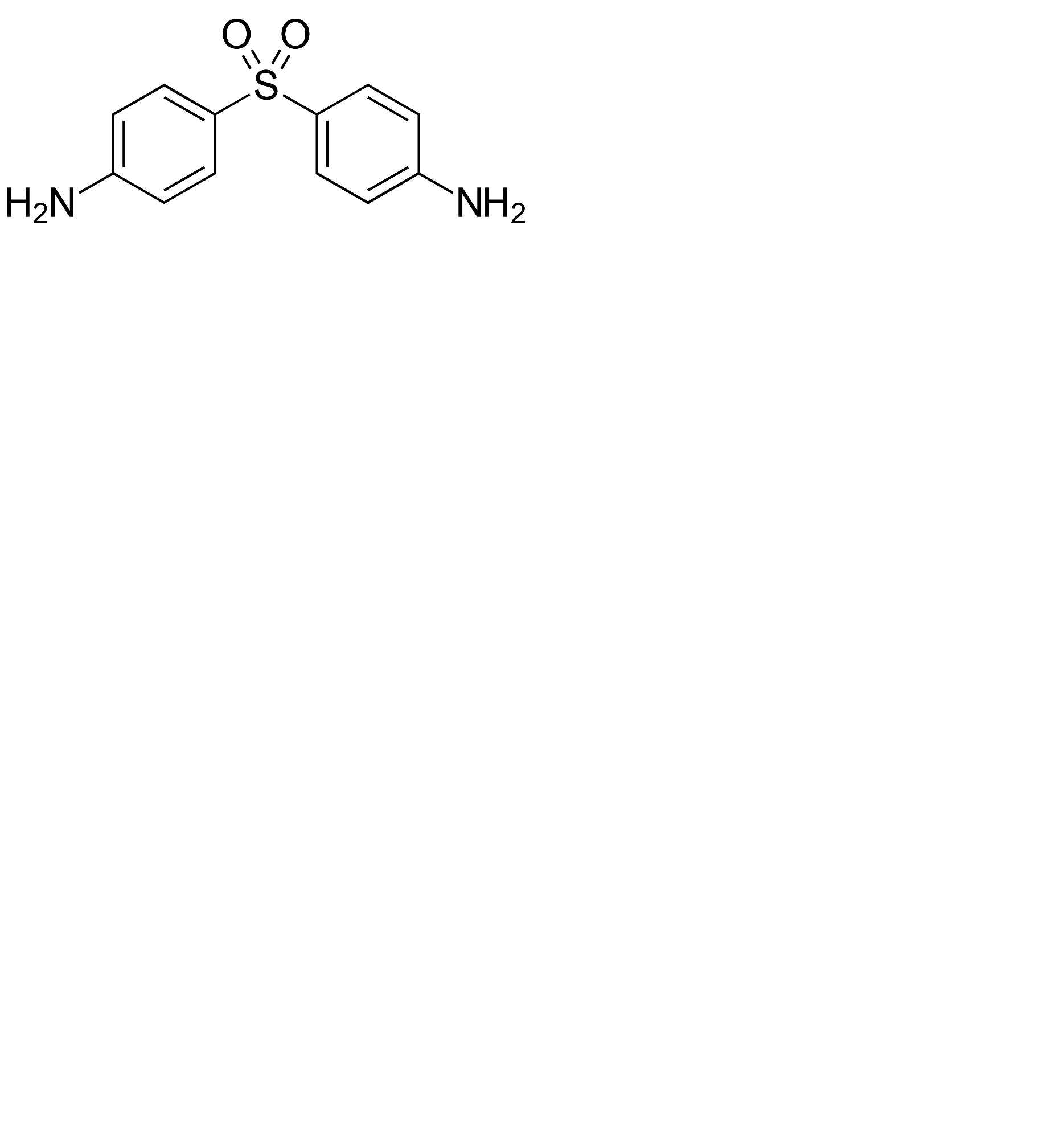
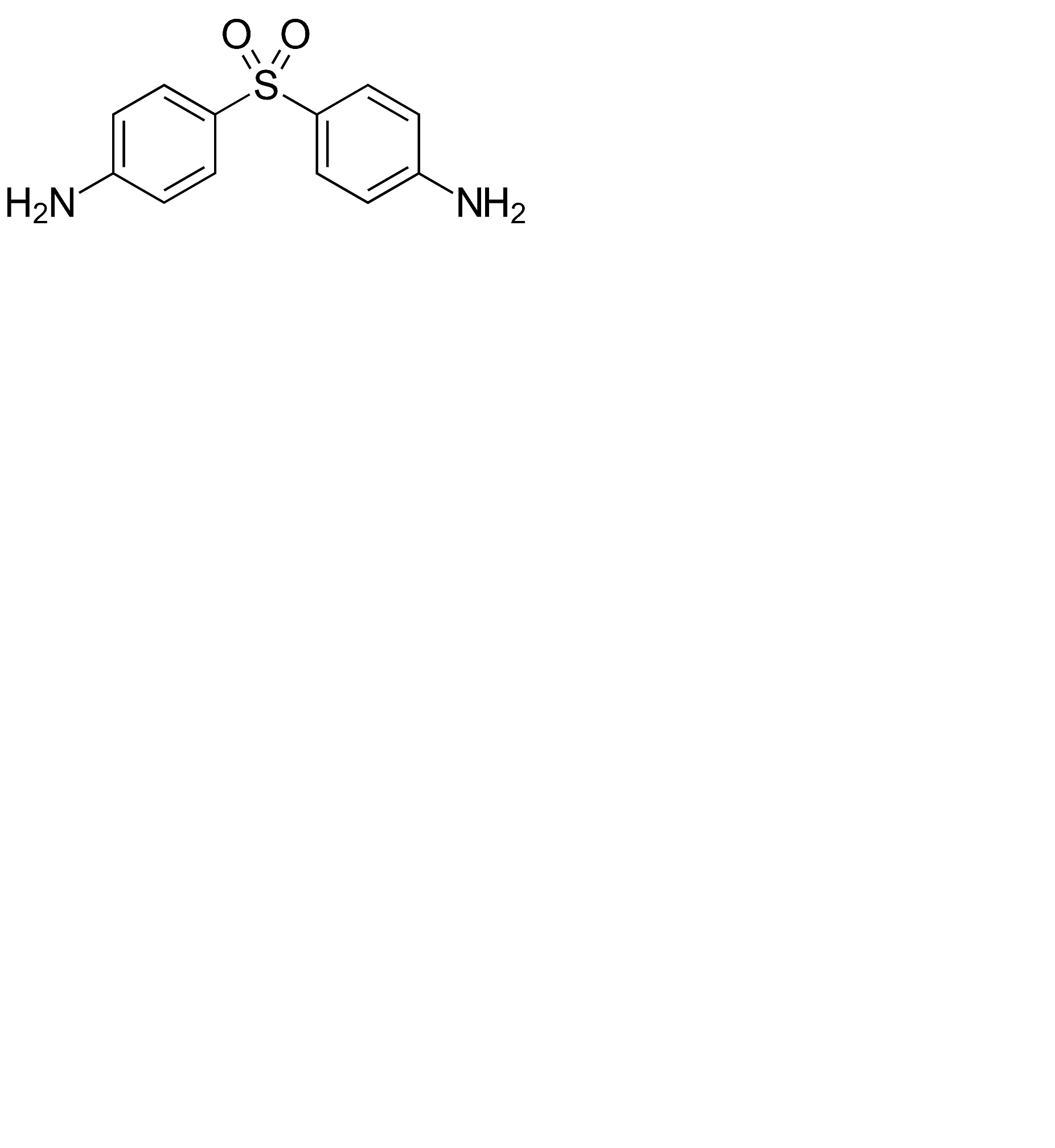
Antibiotik   Dapsone  
Mazila
Peroralna raztopina
Stabilnost farmacevtskih preparatov Stabilnost mešanice Faktorji, ki vplivajo na stabilnost Kompatibilnost Viri pdf
   Kemična formula  

Mazila
Kompatibilnost   Mazila   Kompatibilnost : Dapsone              
ni podatka

  Mentions Légales