Ultimele actualizari :
27/01/2026
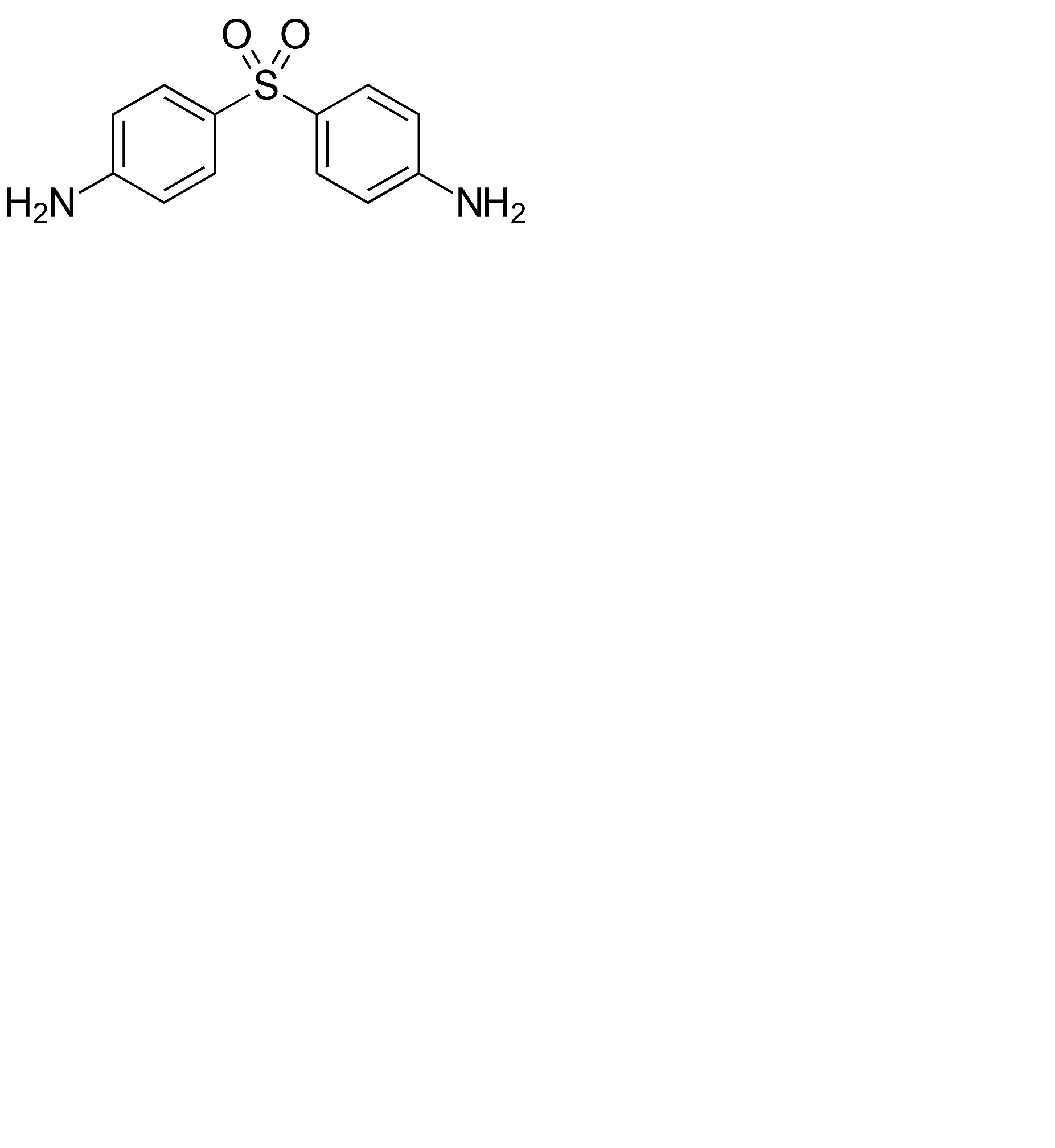
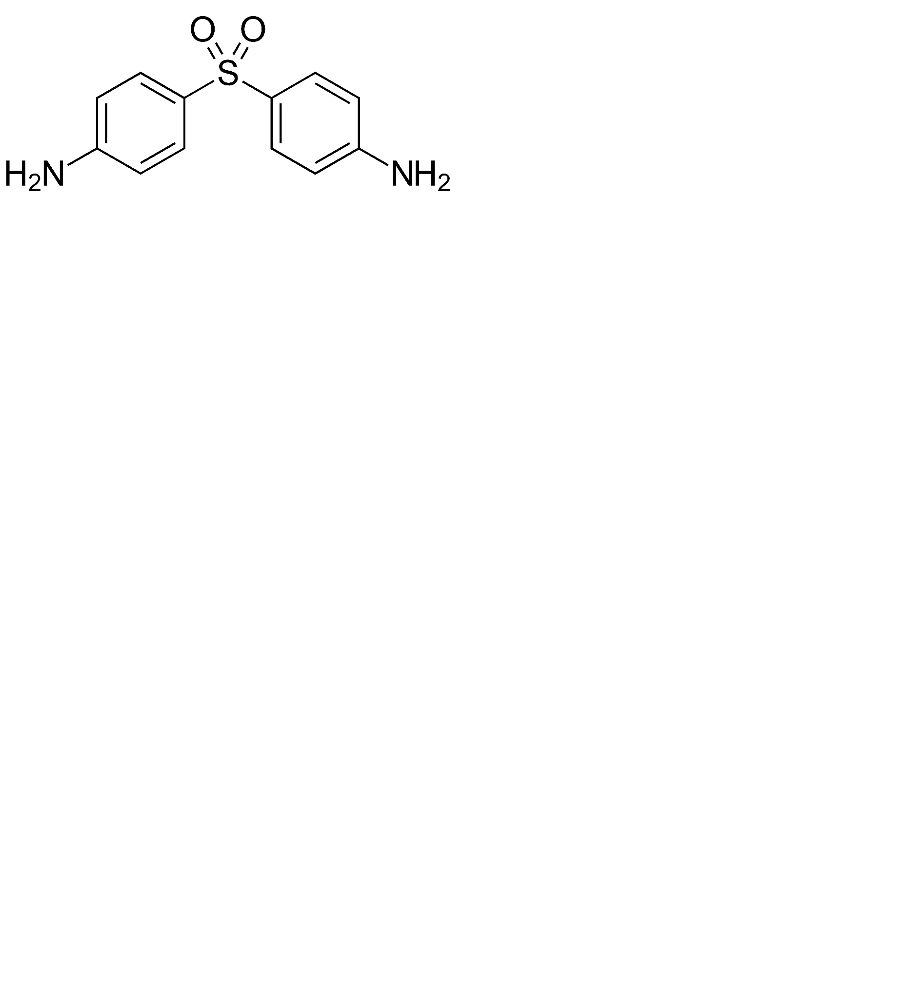
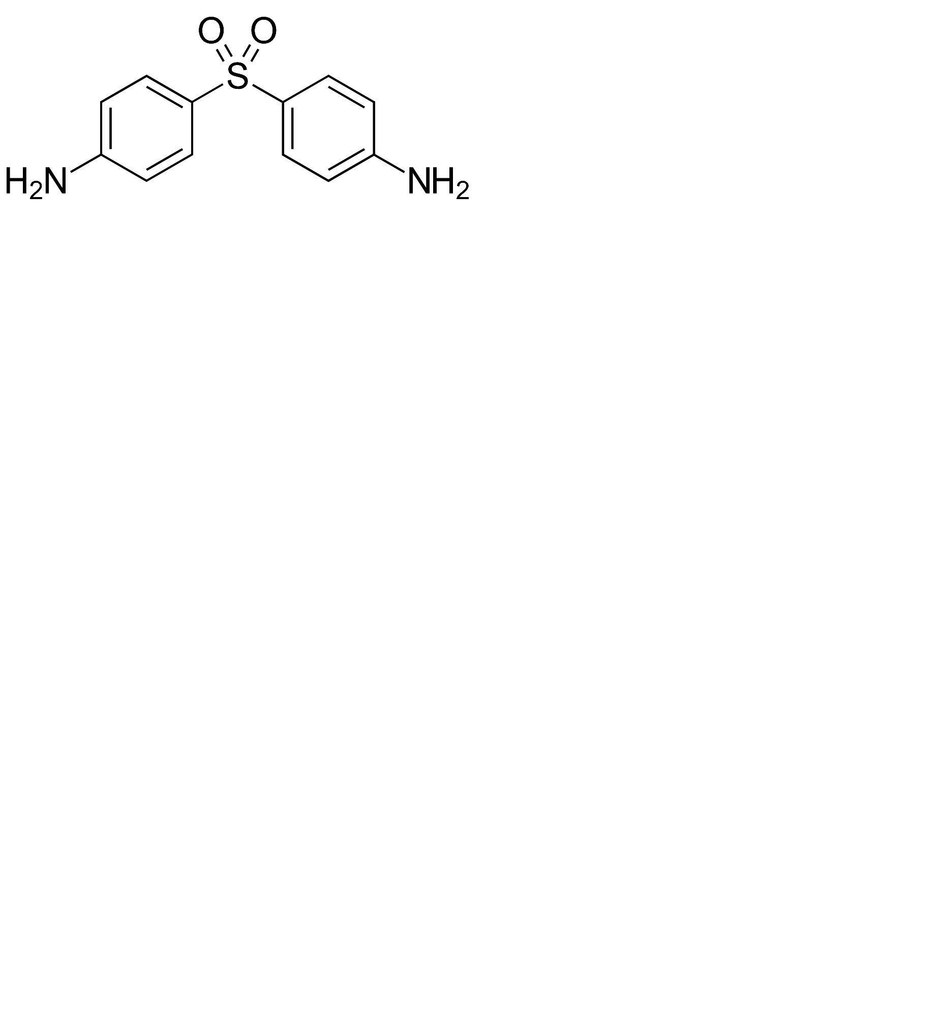
Antibiotic   Dapsone  
Unguente
Soluţie orală
Stabilitatea preparatelor farmaceutice Stabilitatea in amestec Factorii care influenteaza stabilitatea Compatibilitate Bibliografie pdf
   Formula chimica  

Unguente
Compatibilitate   Unguente   Compatibilitate : Dapsone              
Absenta de date

  Mentions Légales