Pēdējā atjaunošana :
27/01/2026
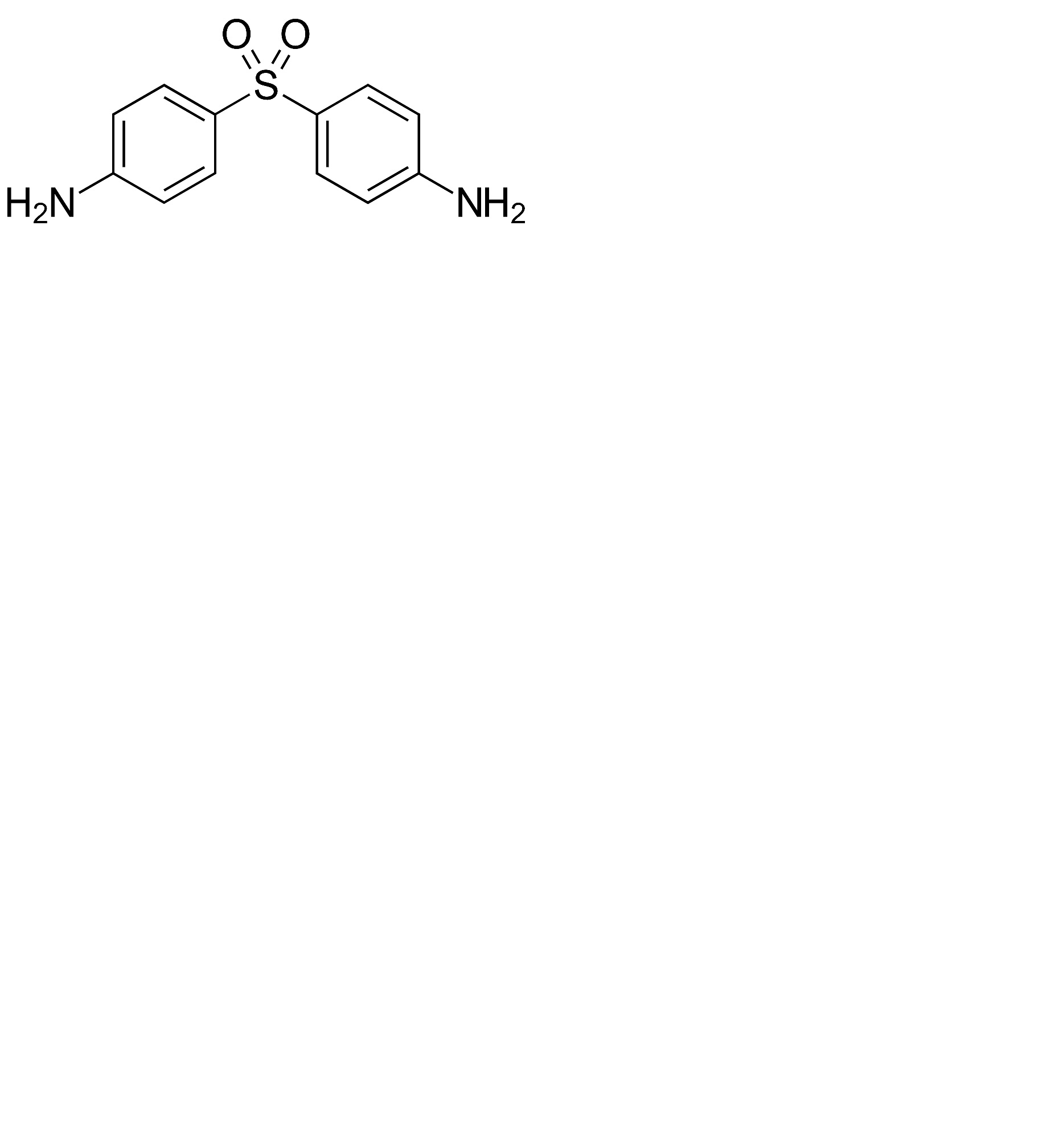
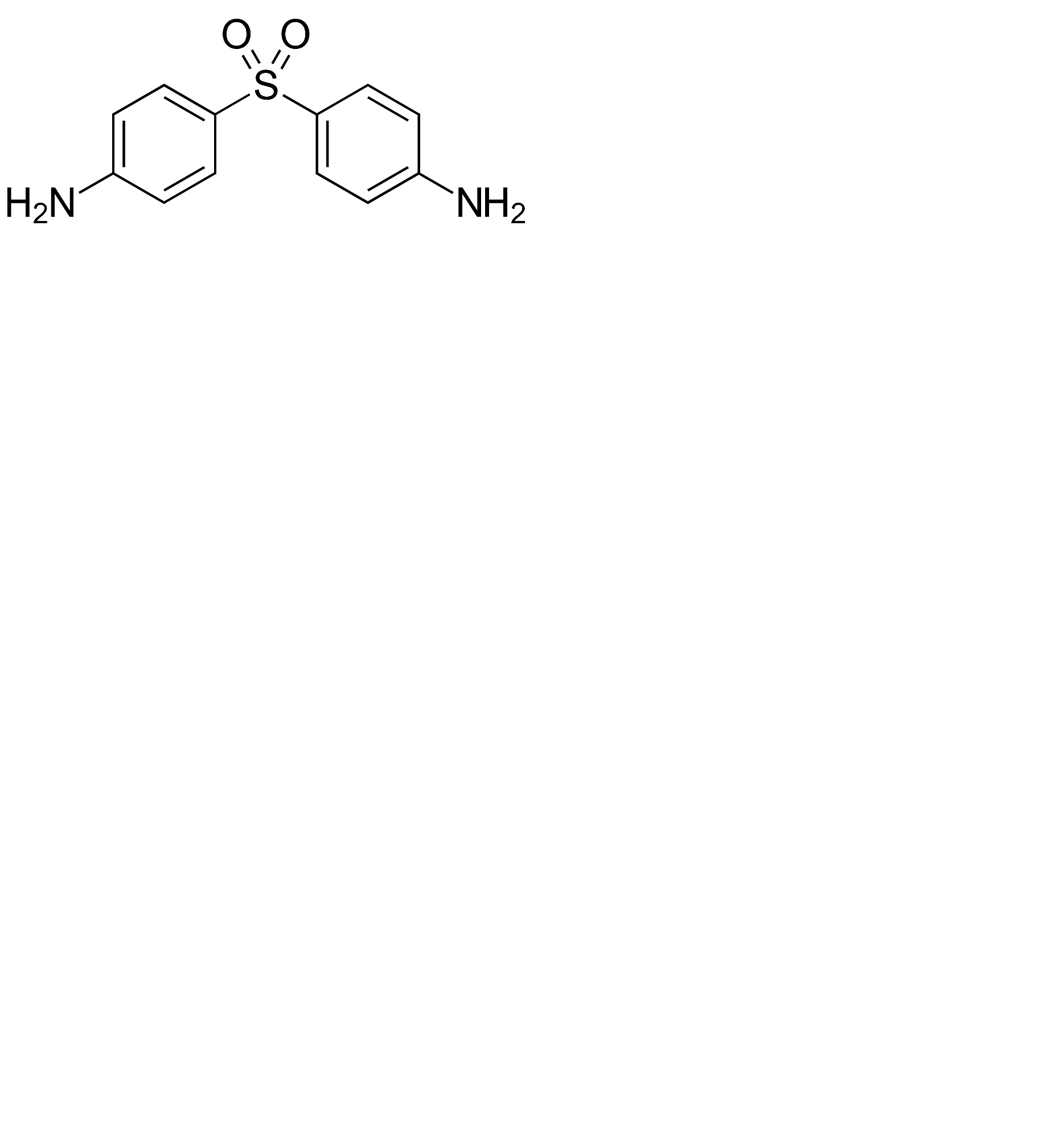
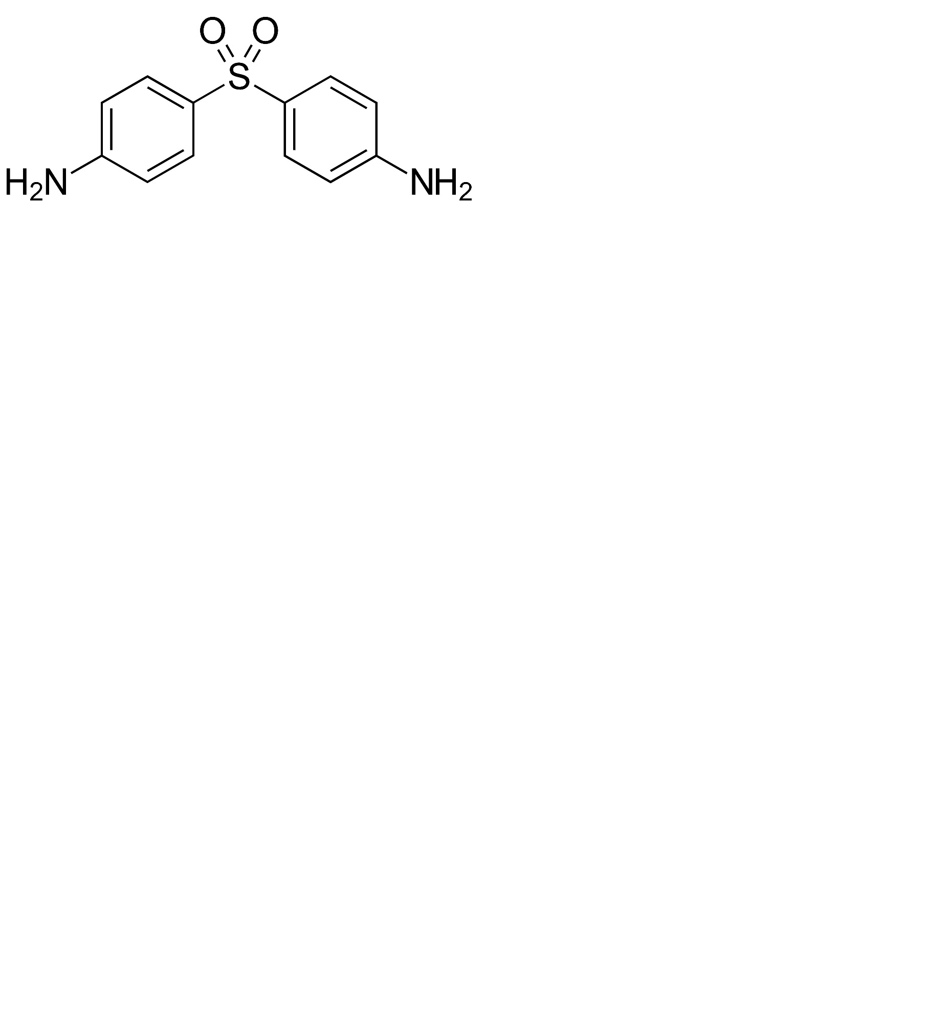
Antibiotika   Dapsone  
Ziedes
Orāls šķīdums
Stabilitāte farmaceitisko preparātu Maisījuma stabilitāte Stabilitāti ietekmējoši faktori Saderība Literatūras saraksts pdf
   Ķīmiskā uzbūve   

Ziedes
Saderība   Ziedes   Saderība : Dapsone              
Nav datu

  Mentions Légales