viimane versioon :
27/01/2026
antibiootikum   Dapsone  
salv
suukaudne lahus
Stabiilsust ravimpreparaadid Stabiilsust mõjutavad tegurid stabiilsust mõjutavad faktorid Sobimatus Viited pdf
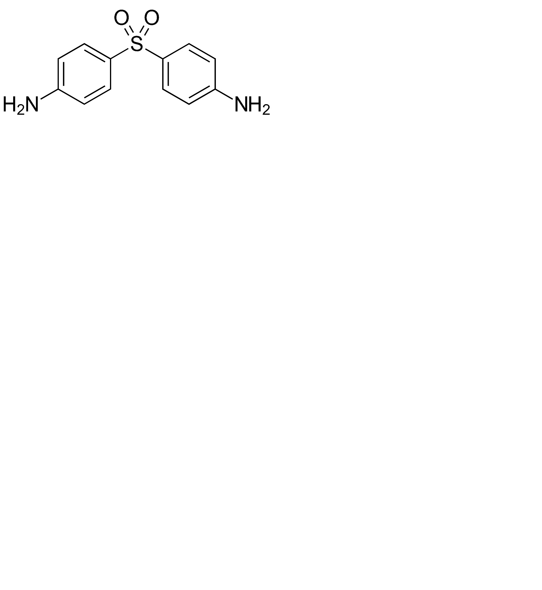
   keemiline struktuur  

salv
Sobimatus   salv   Sobimatus : Dapsone              
andmed puuduvad

  Mentions Légales