Laatste update :
27/01/2026
Antibioticum   Dapsone  
zalf
Orale Oplossing
Stabiliteit van farmaceutische preparaten Stabiliteit in mengsels Factoren die de stabiliteit beïnvloeden Verenigbaarheden Literatuur pdf
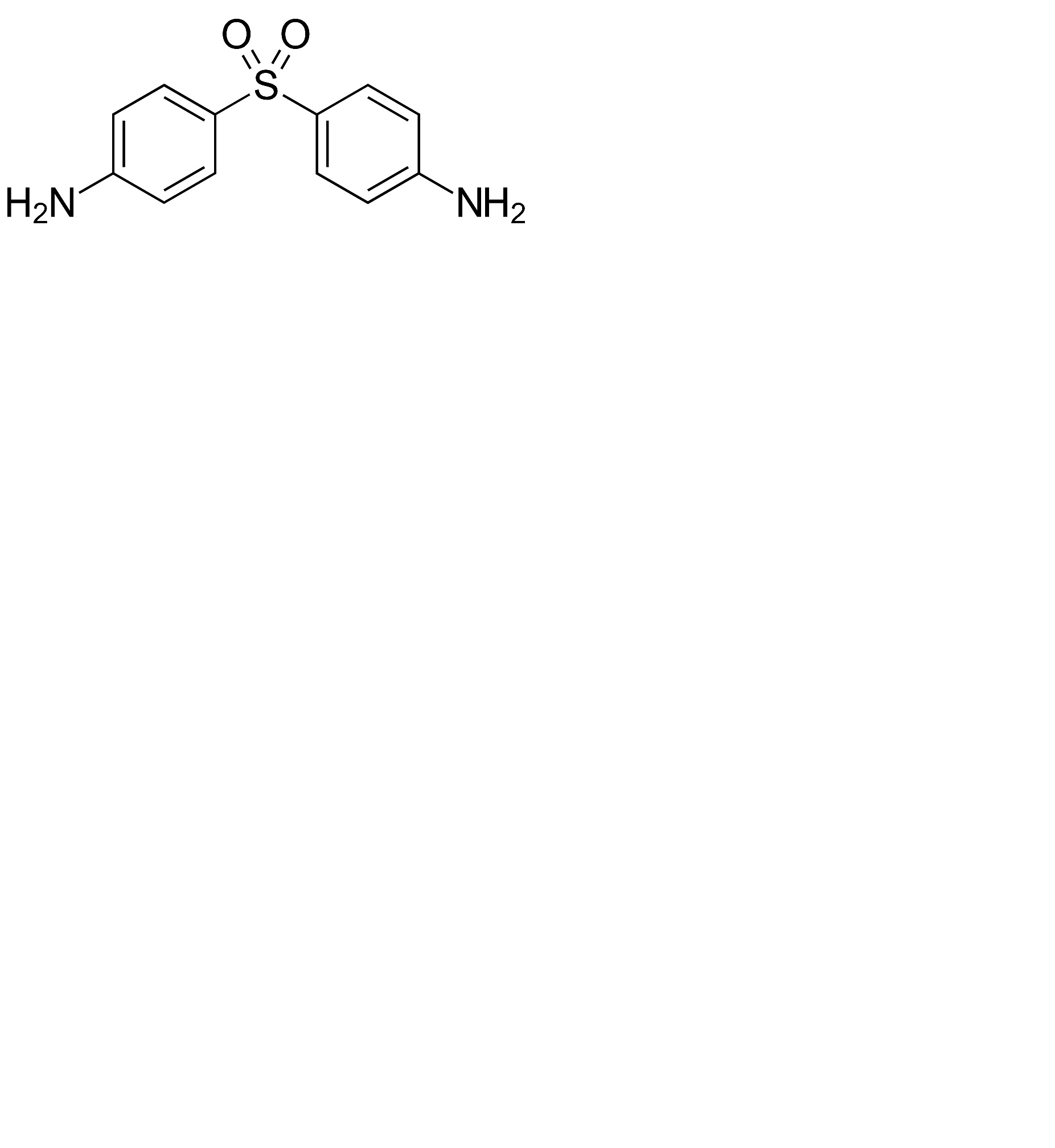
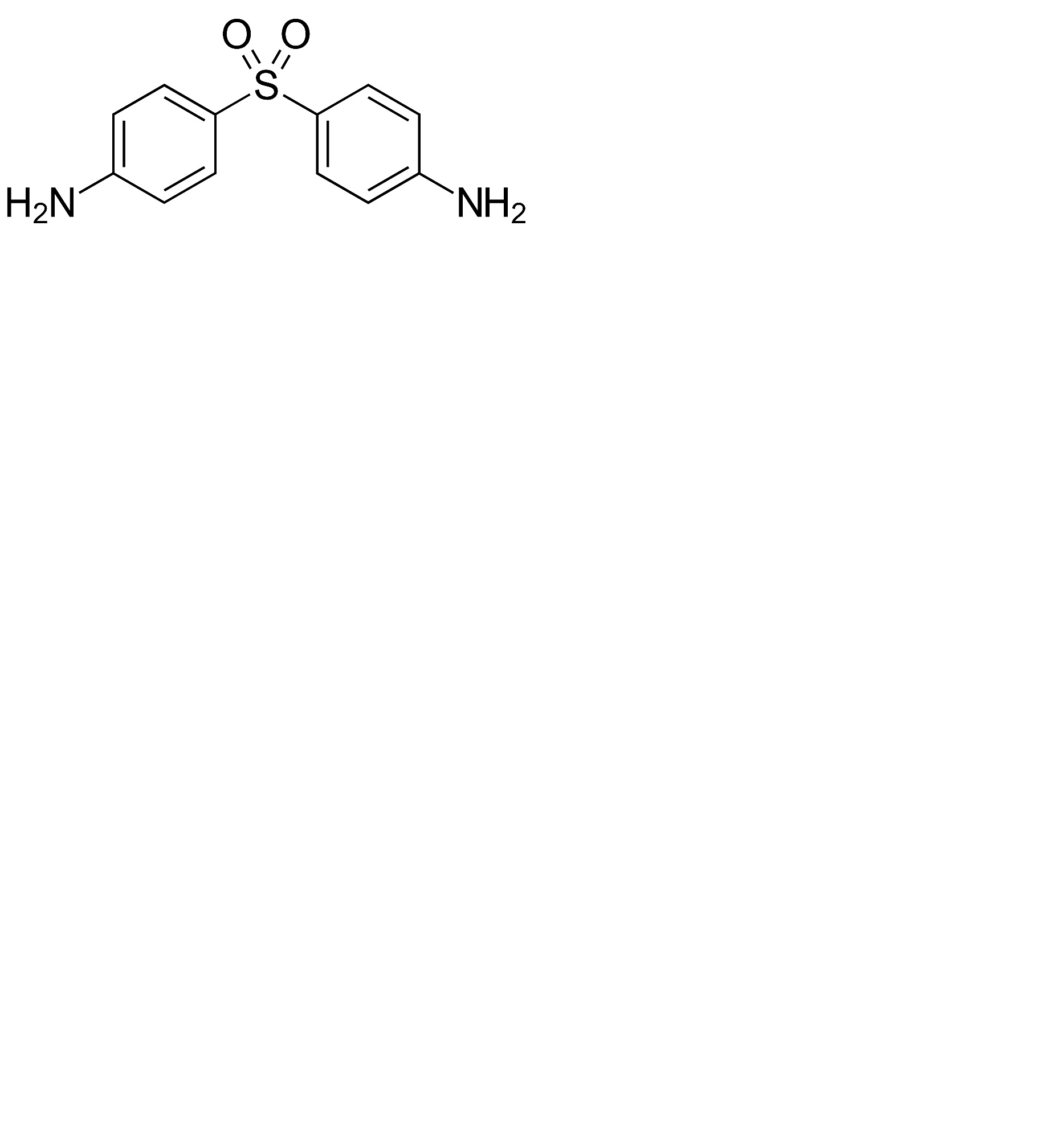
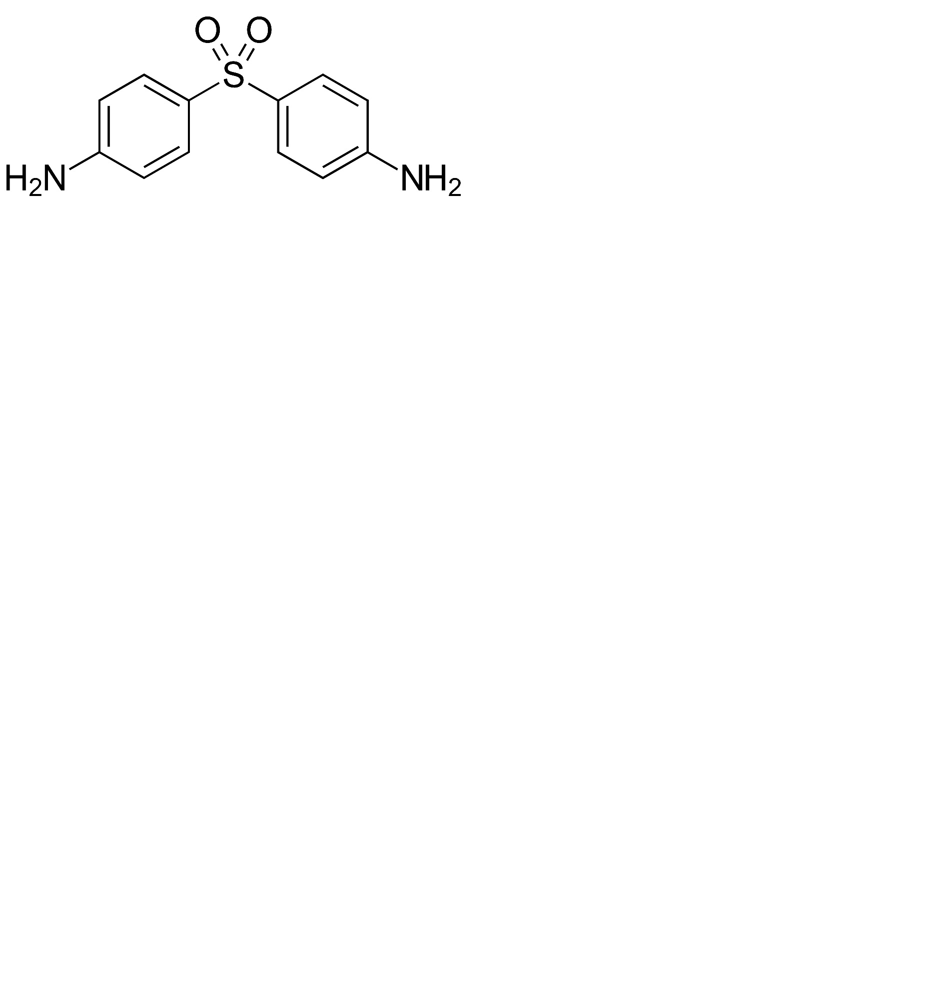
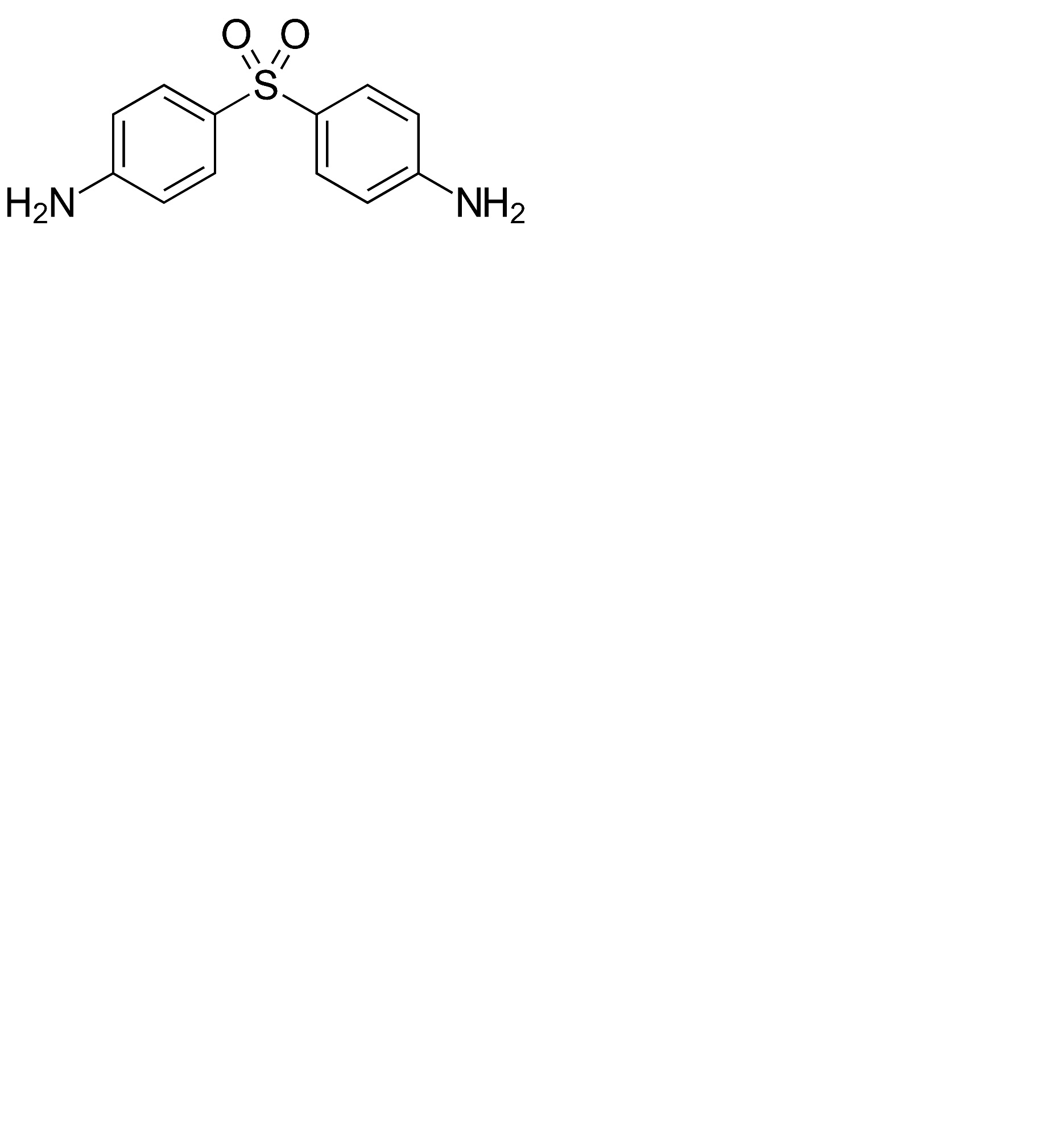
   Molecuulstructuur  

zalf
Verenigbaarheden   zalf   Verenigbaarheden : Dapsone              
geen gegevens

  Mentions Légales