Son güncelleme :
27/04/2026
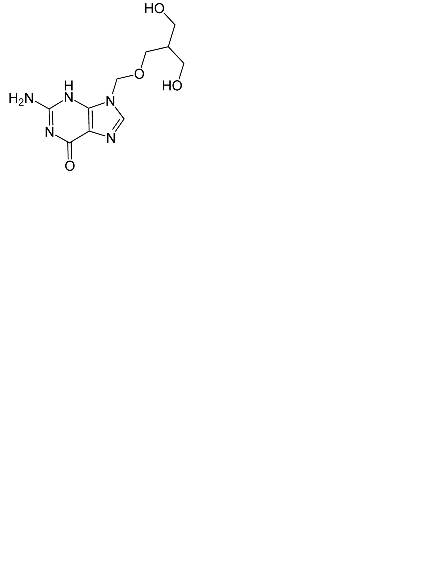
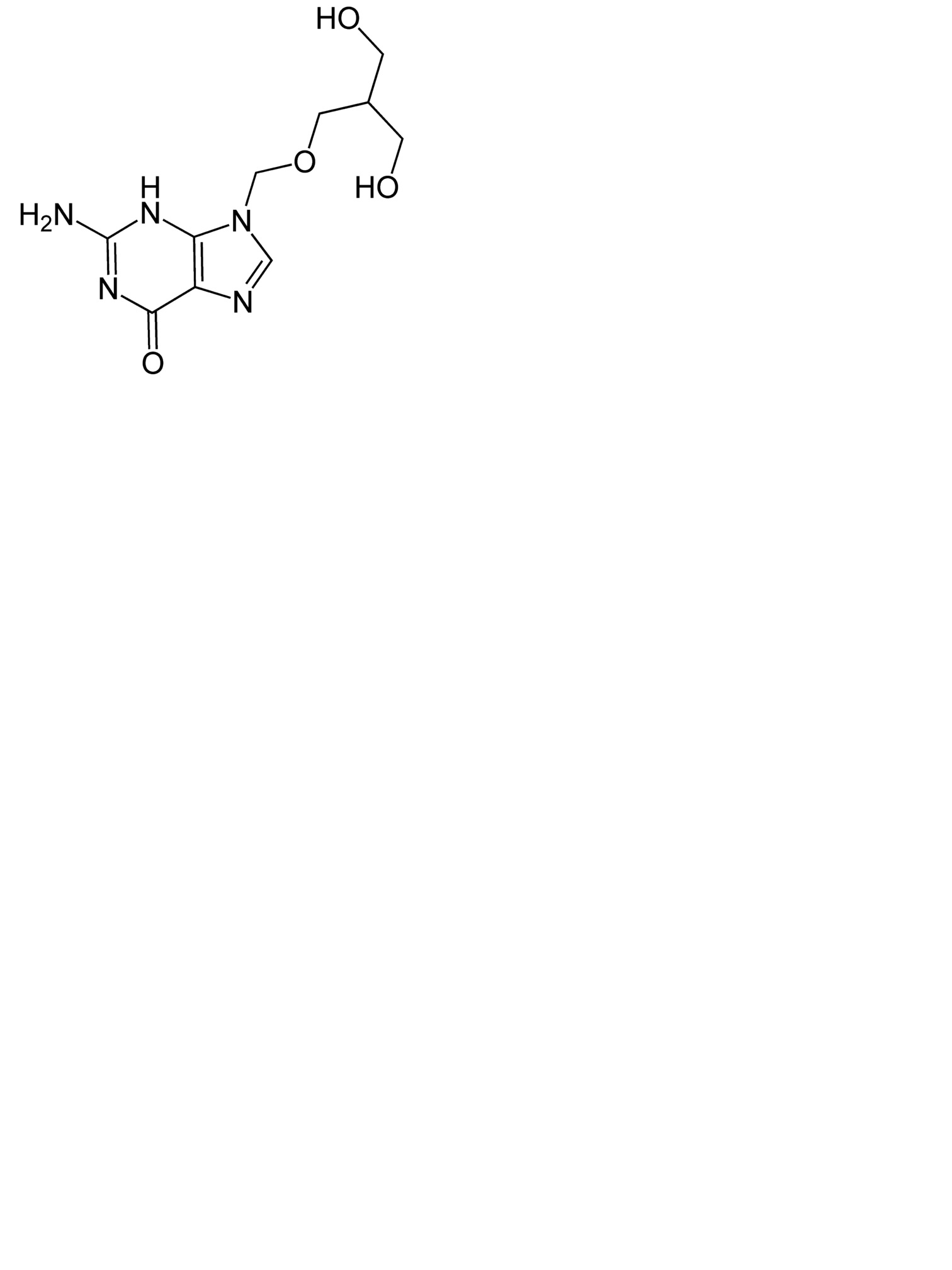
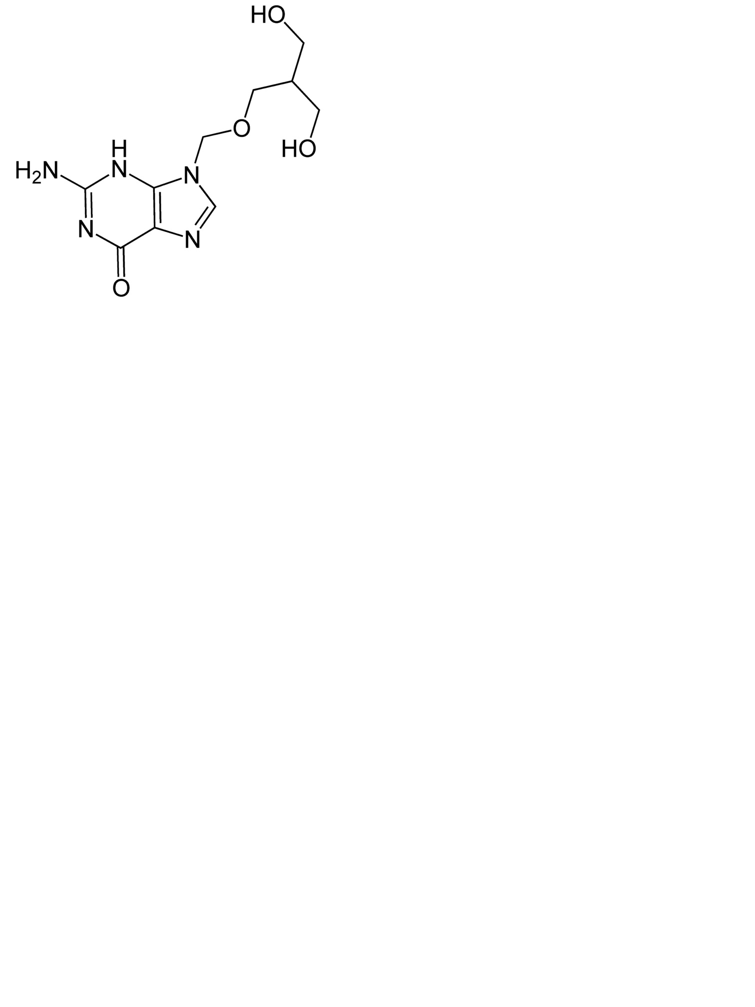
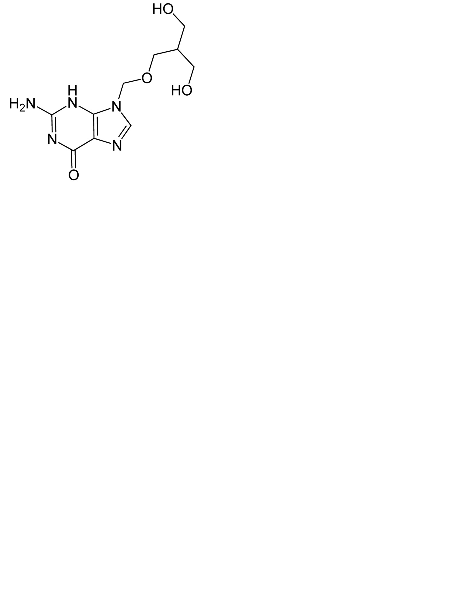
Antiviral   Ganciclovir  
Göz damlası
Farmasötik preparatlar Kararlılığı Karışımlardaki stabilitesi Stabiliteyi etkileyen faktörler Uyumluluk Kaynaklar pdf
   Kimyasal yapı   

Göz damlası
Uyumluluk   Göz damlası   Uyumluluk : Ganciclovir              
veri yok

  Mentions Légales