fermer
最新更新 :
12/12/2025
Infostab
薬剤一覧
まとめ一覧
互換性の検索
Yサイト対応表
引用文献
研究チーム
valistab
ポスター
接続
スポンサー
作成者
ユーザーガイド
ニュースレター
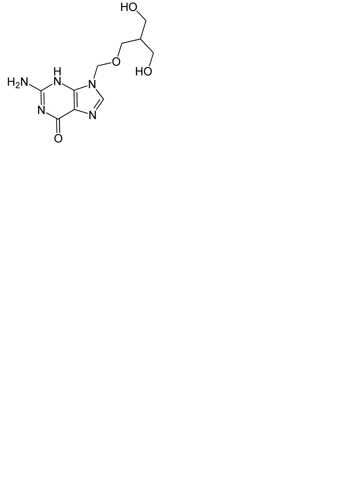
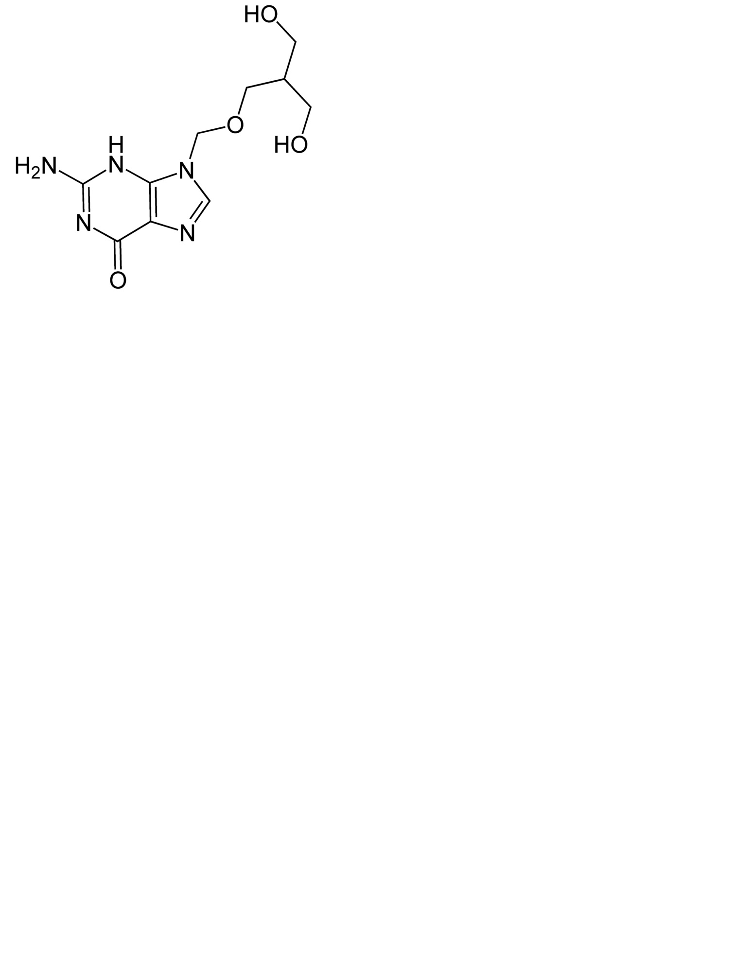
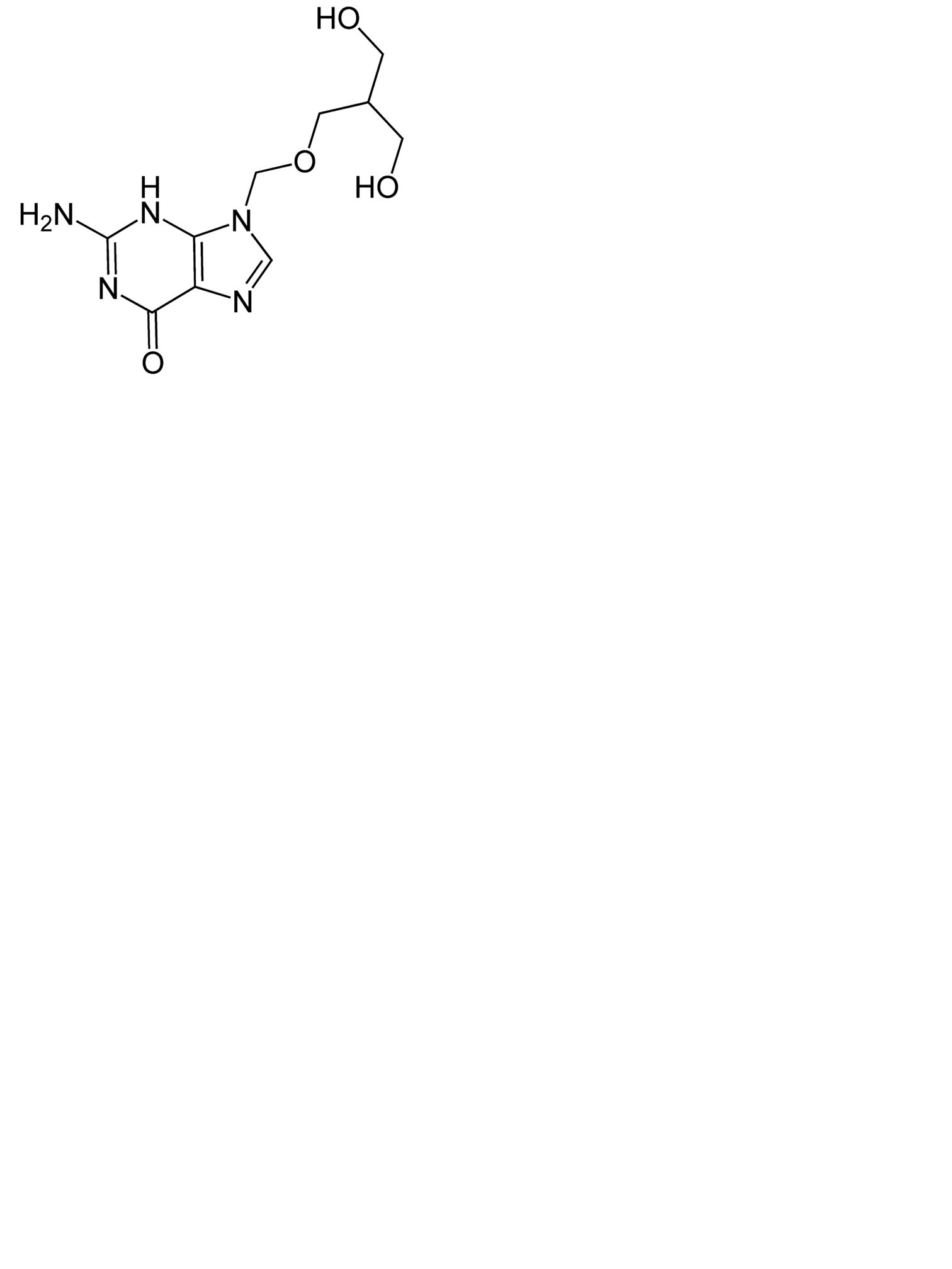
Ganciclovir
化学構造
互換性 : Ganciclovir
データなし
Mentions Légales