Ostatnia aktualizacja :
27/04/2026
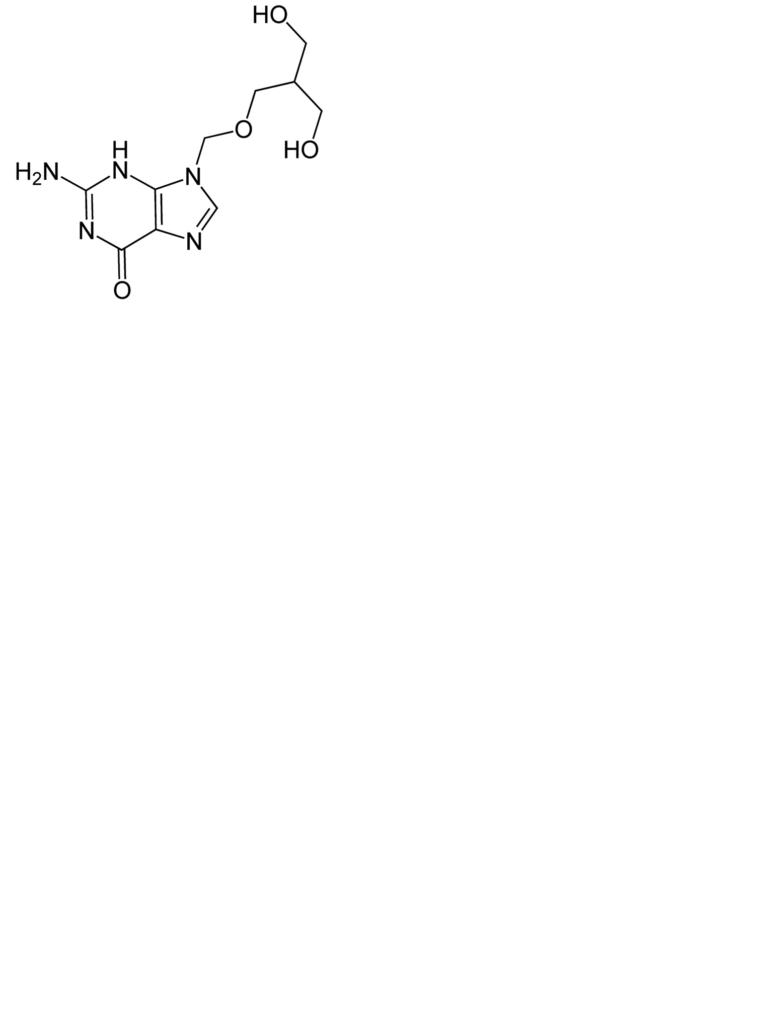
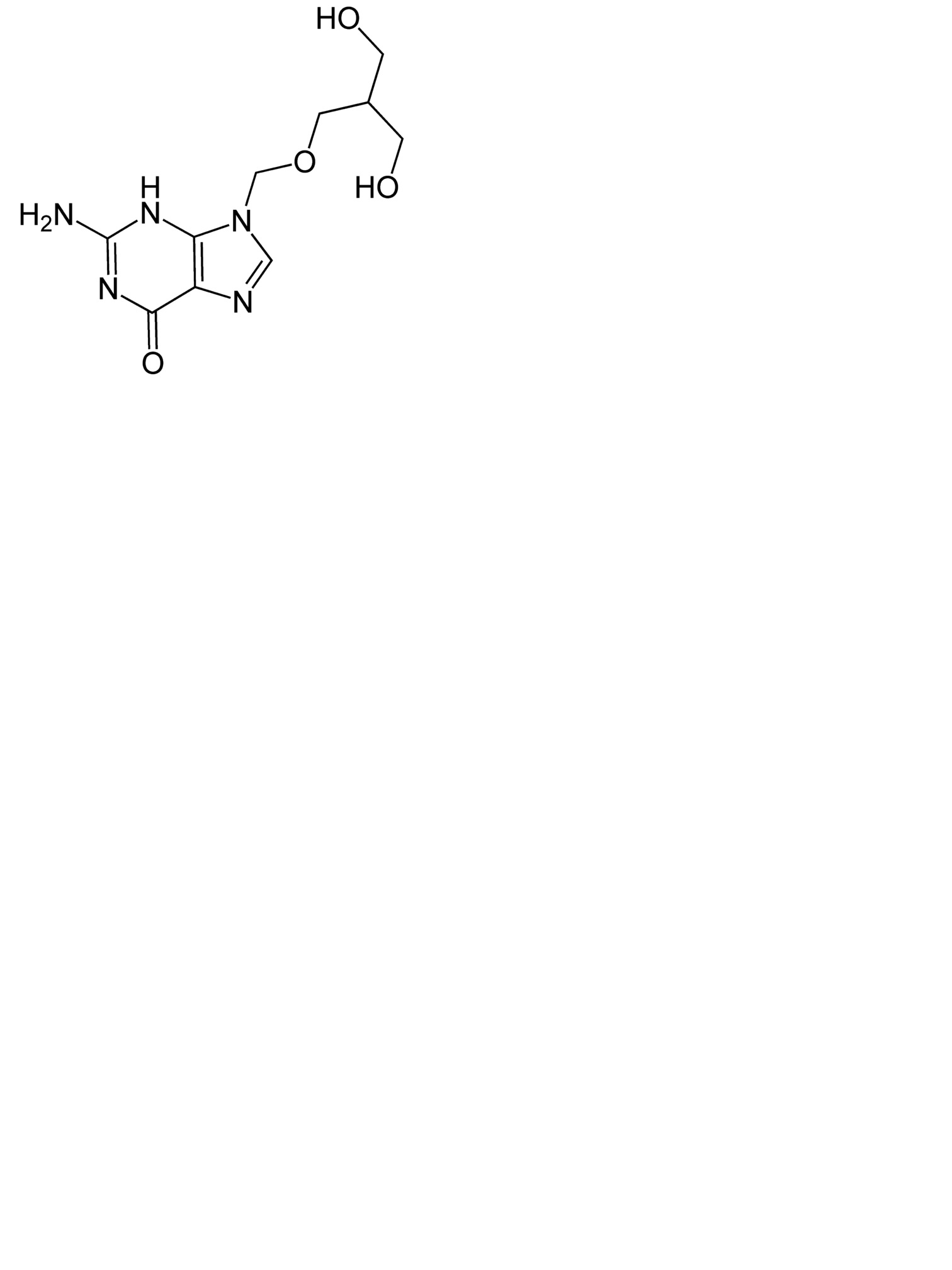
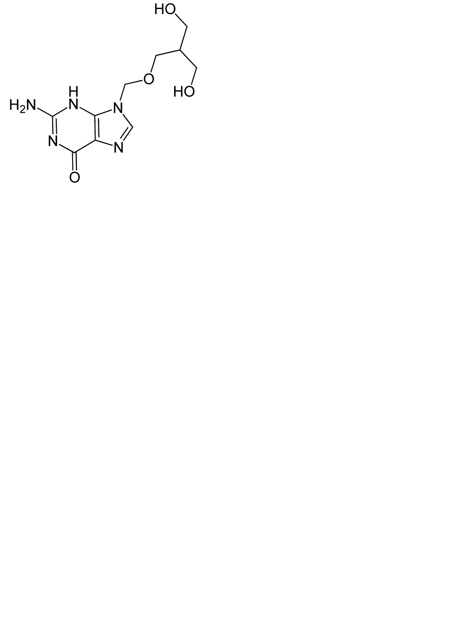
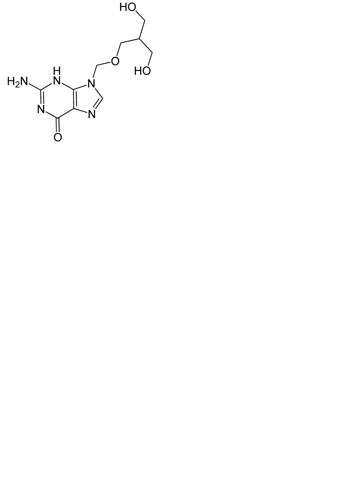
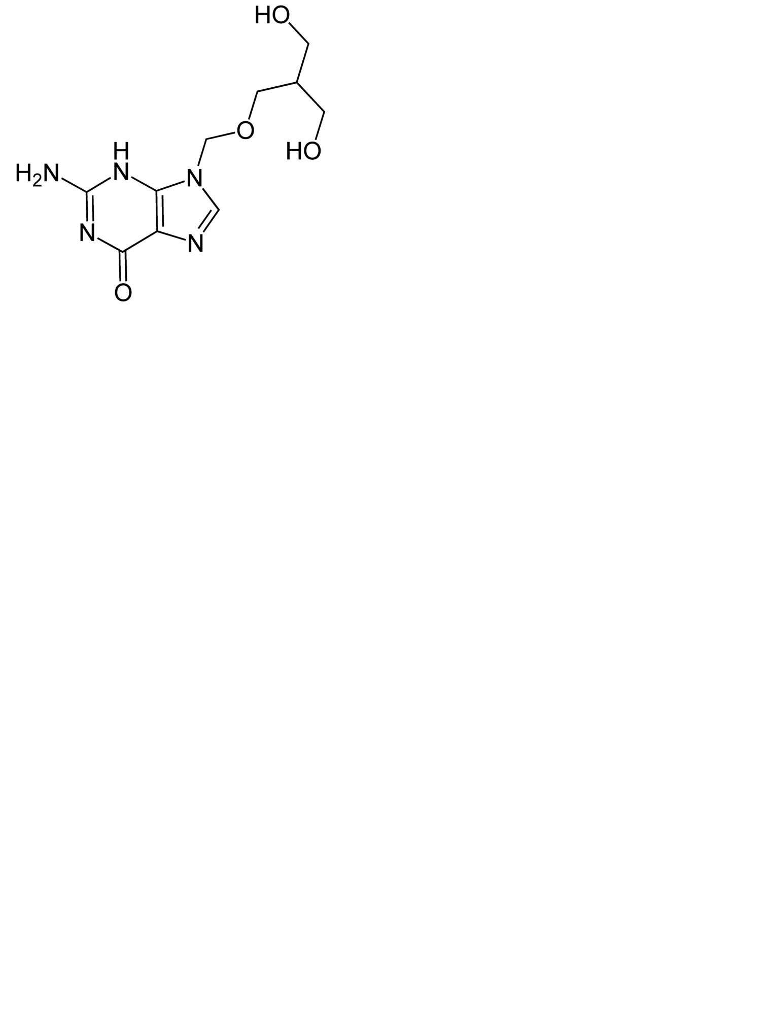
Lek przeciwwirusowy   Ganciclovir  
Krople oczne
Stabilność preparatów farmaceutycznych Trwałość w mieszaninie Czynnik wpływający na trwałość Zgodność Bibliografia pdf
   Struktura chemiczna  

Krople oczne
Zgodność   Krople oczne   Zgodność : Ganciclovir              
Brak danych

  Mentions Légales